Free Access
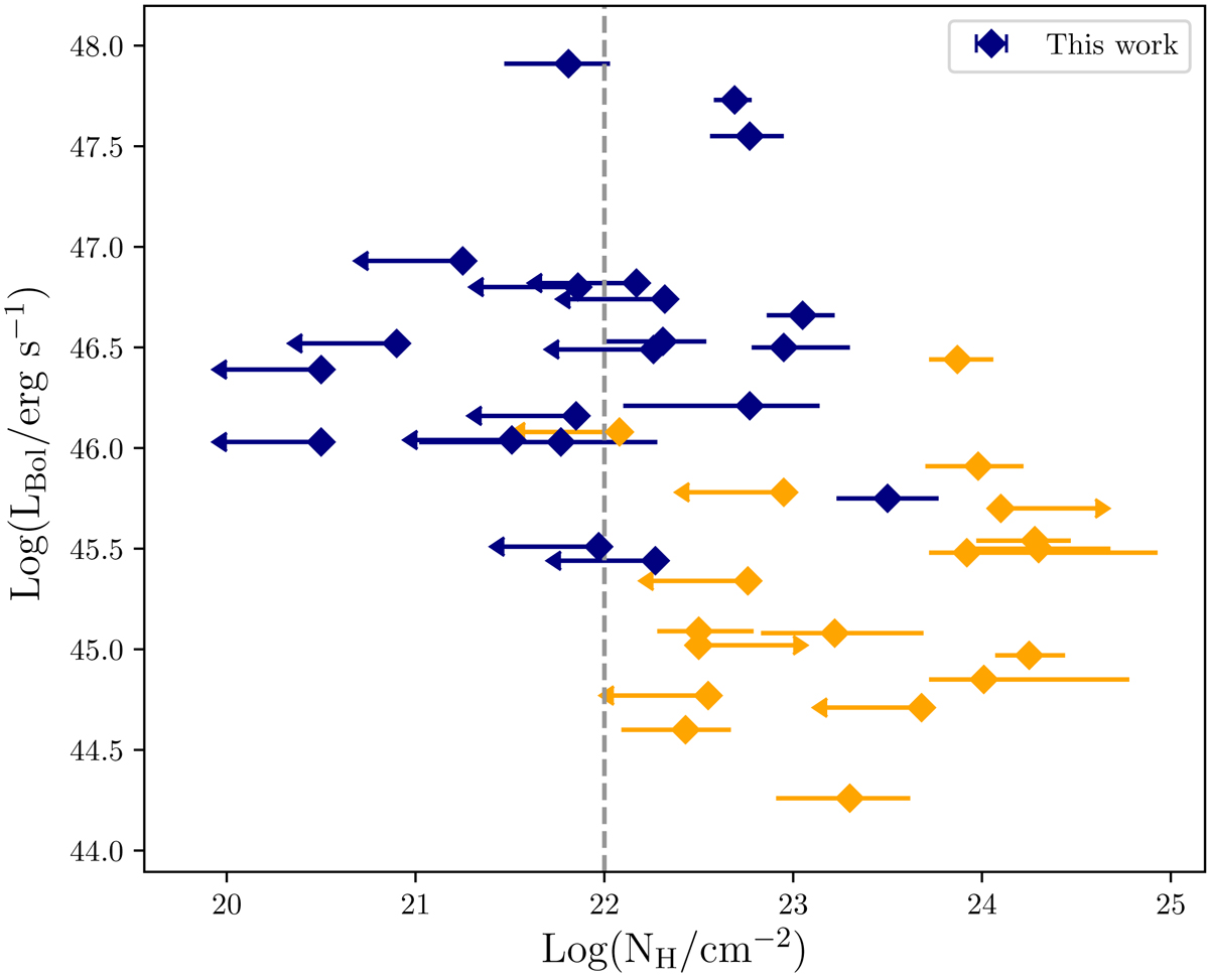
Fig. 1.

Bolometric luminosity vs. column density of the SUPER sample of AGNs. The dashed line at Log(NH cm2) = 22 marks the assumed separation between X-ray unobscured and obscured AGN. The Type-1 SUPER targets analysed in the present paper are represented as blue diamonds.
Current usage metrics show cumulative count of Article Views (full-text article views including HTML views, PDF and ePub downloads, according to the available data) and Abstracts Views on Vision4Press platform.
Data correspond to usage on the plateform after 2015. The current usage metrics is available 48-96 hours after online publication and is updated daily on week days.
Initial download of the metrics may take a while.