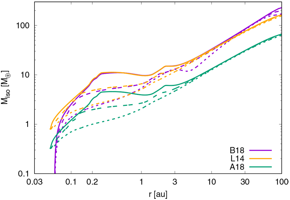
Fig. 2

Pebble isolation mass along the disc of Md,0 = 0.06 M⊙ and α = 10−4 at 20 kyr (solid), 1 Myr (dashed), and 2 Myr (dotted) of disc evolution. The purple curves correspond to the expression of Miso found by B18, green curves to that found by A18, and orange curves to that found by L14. The inner border of the disc is defined at a = 0.05 au.
Current usage metrics show cumulative count of Article Views (full-text article views including HTML views, PDF and ePub downloads, according to the available data) and Abstracts Views on Vision4Press platform.
Data correspond to usage on the plateform after 2015. The current usage metrics is available 48-96 hours after online publication and is updated daily on week days.
Initial download of the metrics may take a while.