Free Access

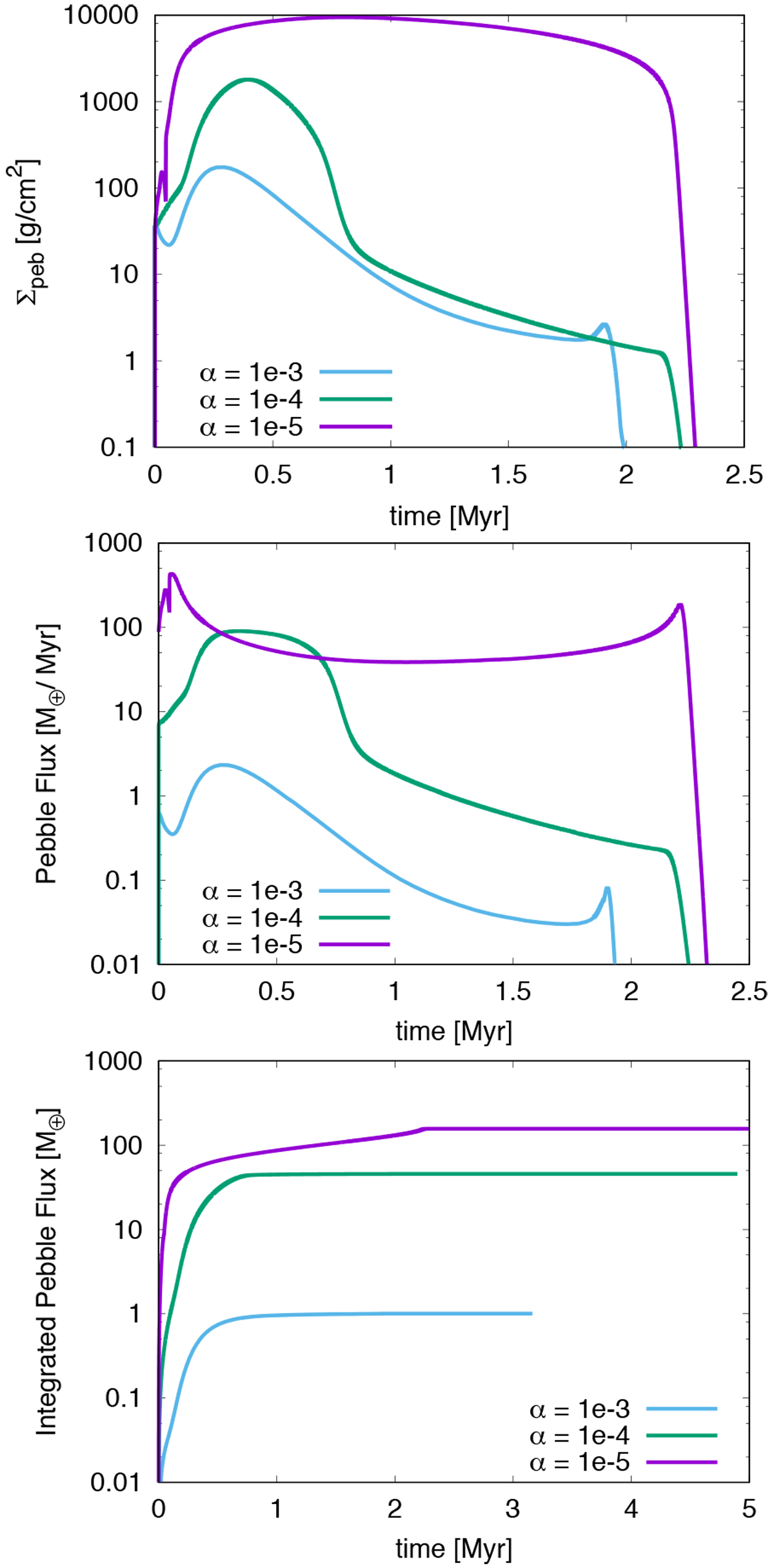
Fig. 5

image

Evolution of the pebble surface density (top), the pebble flux (middle), and the integrated pebble flux (bottom) of the disc with Md,0 = 0.06 M of the nominal setup (Fig. 3). The pebble flux ceases once the gap due to photoevaporation is carved at a ≈ 3− 4 au (see Fig. 1).

Current usage metrics show cumulative count of Article Views (full-text article views including HTML views, PDF and ePub downloads, according to the available data) and Abstracts Views on Vision4Press platform.

Data correspond to usage on the plateform after 2015. The current usage metrics is available 48-96 hours after online publication and is updated daily on week days.

Initial download of the metrics may take a while.