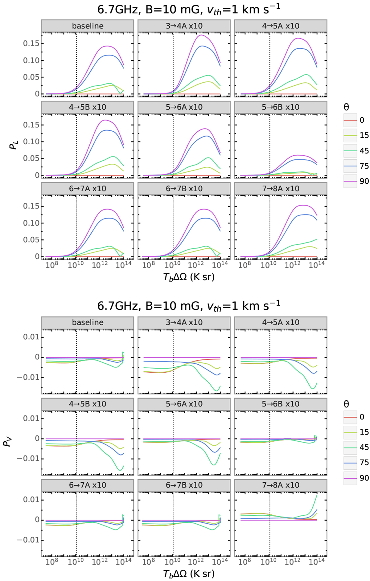
Fig. 1

6.7 GHz methanol maser linear and circular polarisation fraction as a function of the maser luminosity for five different θ. The vertical line marks TBΔΩ where gΩ = 10R. The magnetic field strength is 10 mG, the thermal velocity width is 1 km s−1, and the preferred hyperfine transitions are indicated in each panel. The panel at the top left labelled “baseline” indicates a fixed pumping rate equal for all the hyperfine transitions, while all others assume a 10 × preferred pumping for the indicated i → j transition. The results of the simulation performed with other magnetic field strengths are given in Appendix A.
Current usage metrics show cumulative count of Article Views (full-text article views including HTML views, PDF and ePub downloads, according to the available data) and Abstracts Views on Vision4Press platform.
Data correspond to usage on the plateform after 2015. The current usage metrics is available 48-96 hours after online publication and is updated daily on week days.
Initial download of the metrics may take a while.