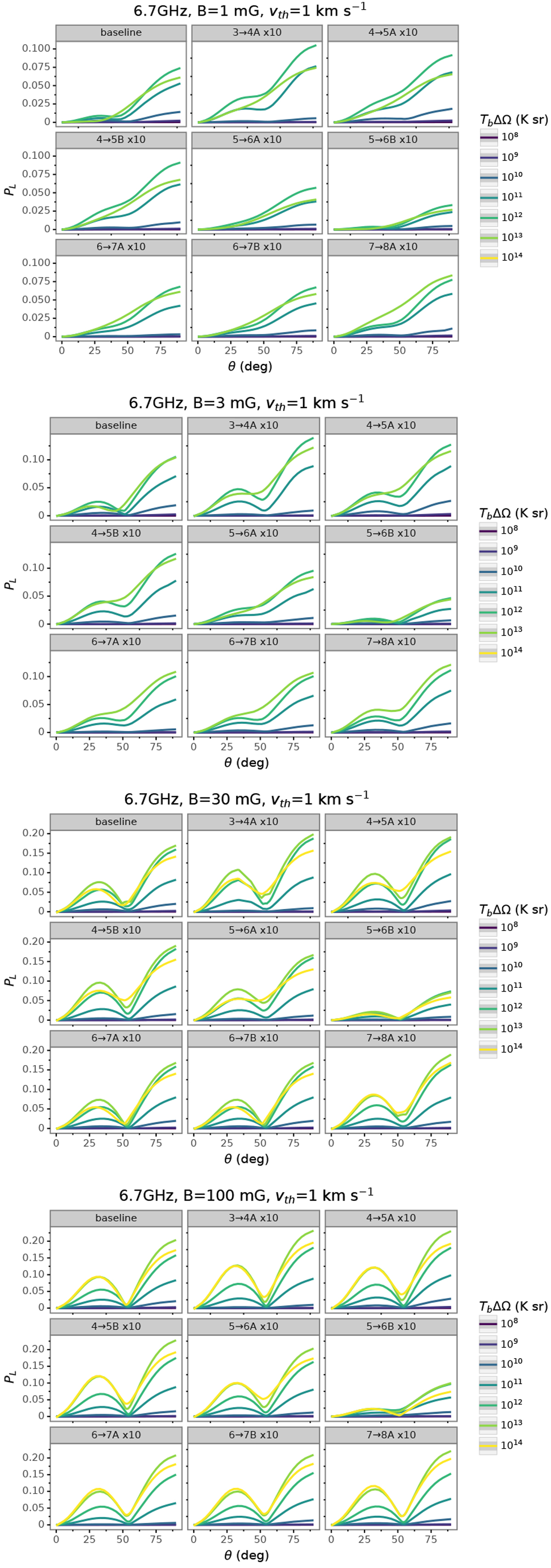
Fig. A.9

6.7 GHz methanol maser linear polarisation fraction, plotted as a function of the propagation angle θ for different brightness temperatures. B strength, vth, and the preferred hyperfine transitions are indicated in each panel. The panel at the top left labelled “baseline” indicates a fixed pumping rate equal for all the hyperfine transitions, while all others assume a 10× preferred pumping for the indicated i → j transition.
Current usage metrics show cumulative count of Article Views (full-text article views including HTML views, PDF and ePub downloads, according to the available data) and Abstracts Views on Vision4Press platform.
Data correspond to usage on the plateform after 2015. The current usage metrics is available 48-96 hours after online publication and is updated daily on week days.
Initial download of the metrics may take a while.