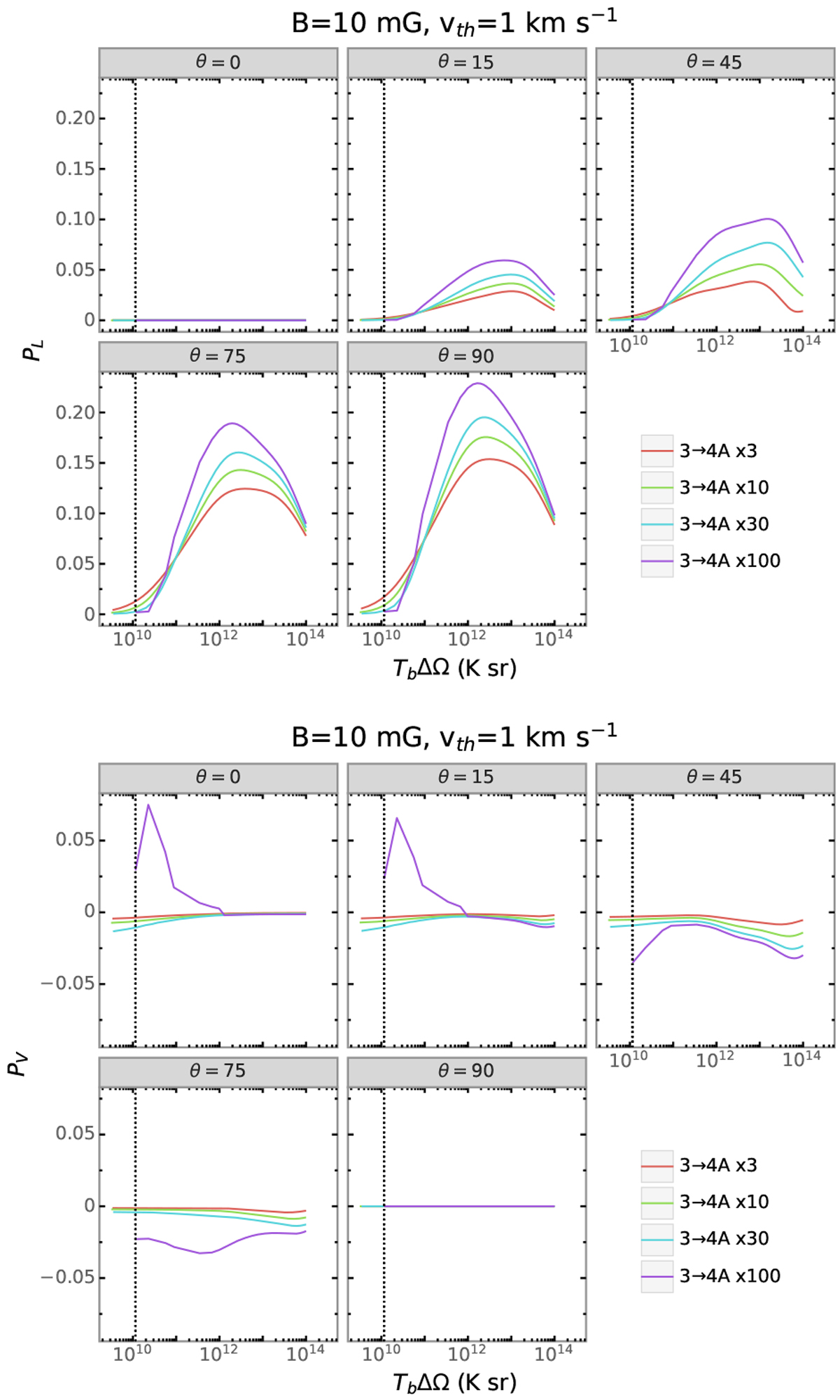
Fig. A.3

6.7GHz methanol maser linear and circular polarisation fraction as a function of the maser luminosity. Colours indicate different degrees of preferred pumping (3, 10, 30, 100 times) for the hyperfine transition 3 → 4 A. The vertical dotted lines indicate gΩ = 10R. Magnetic field strength, angle θ, and thermalwidth are indicated in the plot.
Current usage metrics show cumulative count of Article Views (full-text article views including HTML views, PDF and ePub downloads, according to the available data) and Abstracts Views on Vision4Press platform.
Data correspond to usage on the plateform after 2015. The current usage metrics is available 48-96 hours after online publication and is updated daily on week days.
Initial download of the metrics may take a while.