Free Access

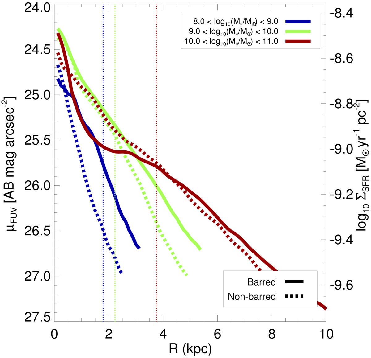
Fig. 6.

image

Mean μFUV 1D radial profiles in bins of total stellar mass (1 dex in width), separating barred (solid line) and non-barred galaxies (dashed line) (95% radial coverage). The vertical dotted lines indicate the mean bar size of the barred galaxies in each of the M*-bins. The same plot for μNUV can be found in Fig. E.2.

Current usage metrics show cumulative count of Article Views (full-text article views including HTML views, PDF and ePub downloads, according to the available data) and Abstracts Views on Vision4Press platform.

Data correspond to usage on the plateform after 2015. The current usage metrics is available 48-96 hours after online publication and is updated daily on week days.

Initial download of the metrics may take a while.