Free Access

Fig. 2

image

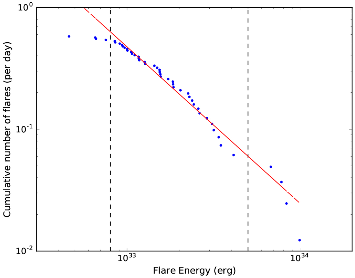
Gl 729. Cumulative frequency of flares ν derived fromthe Kepler light curve with the FLATWR’M algorithm. The red solid line is the best linear fit (Eq. 1) in the range 8 × 1032–5 × 1033 erg with α = 1.71.

Current usage metrics show cumulative count of Article Views (full-text article views including HTML views, PDF and ePub downloads, according to the available data) and Abstracts Views on Vision4Press platform.

Data correspond to usage on the plateform after 2015. The current usage metrics is available 48-96 hours after online publication and is updated daily on week days.

Initial download of the metrics may take a while.