Free Access

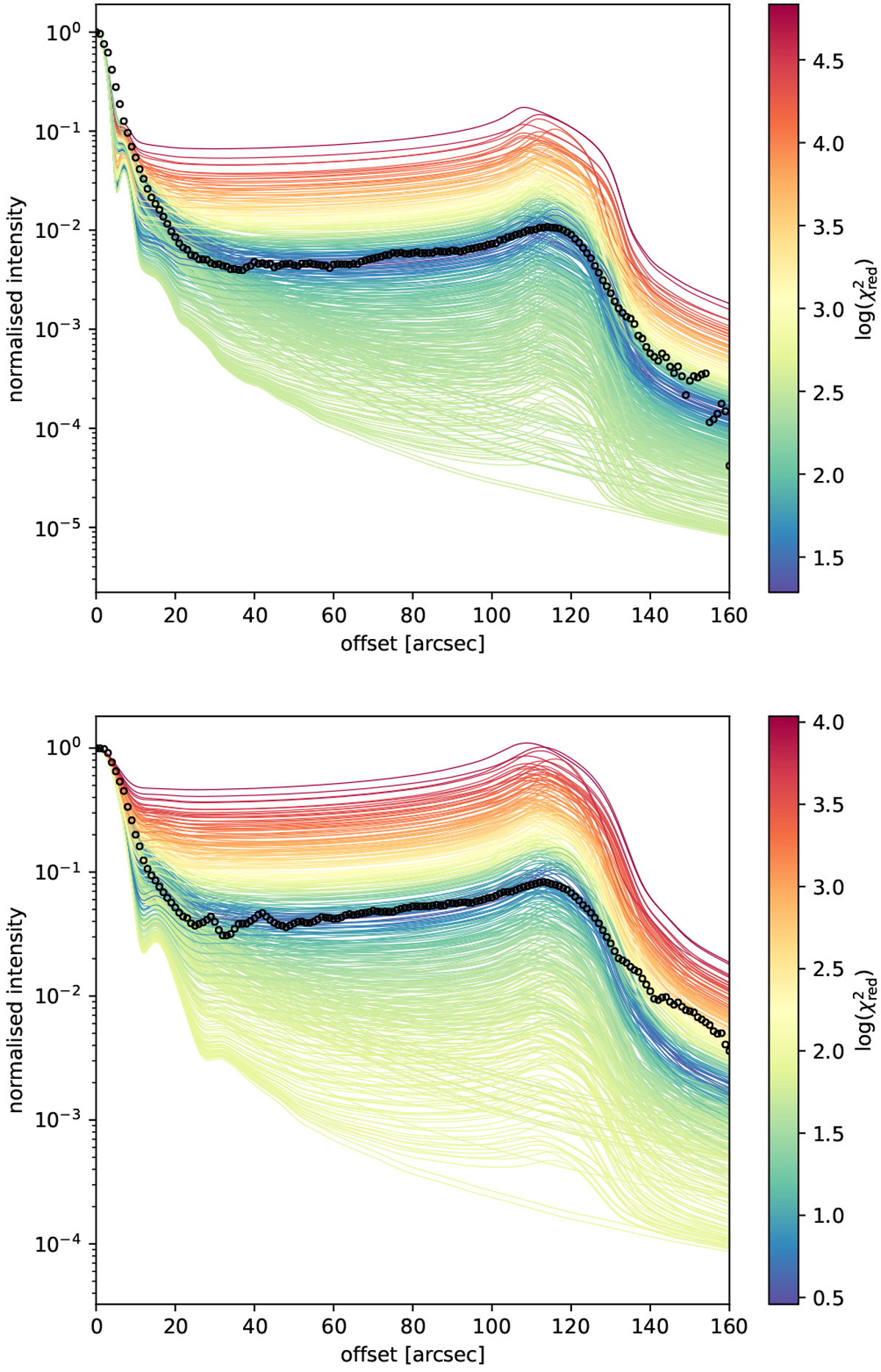
Fig. 12

image

Radial brightness profiles calculated from the stationary wind models at 70 (top) and 160 μm (bottom). The colours reflect the goodness of the fit to the respective observed PACS brightness distribution (black open circles).

Current usage metrics show cumulative count of Article Views (full-text article views including HTML views, PDF and ePub downloads, according to the available data) and Abstracts Views on Vision4Press platform.

Data correspond to usage on the plateform after 2015. The current usage metrics is available 48-96 hours after online publication and is updated daily on week days.

Initial download of the metrics may take a while.