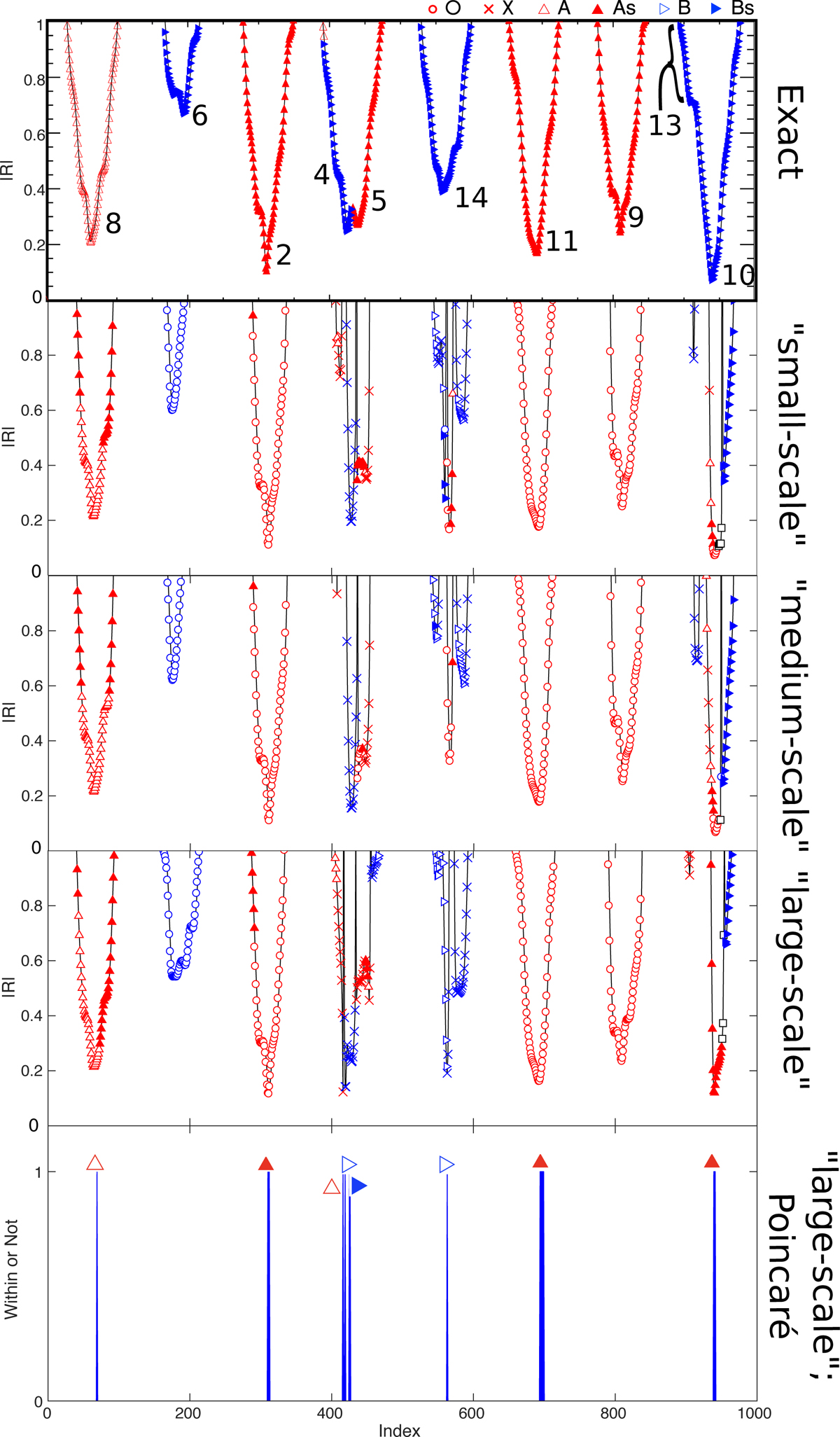
Fig. 5.

Null points detected based on the simulated spacecraft trajectories as described in Appendix A. In the top panel is the exact distance from the centre of the spacecraft tetrahedron to the nearest null (|R|), its type, and its number based on Table A.2. The second, third and fourth panels show the results from the FOTE method with a tetrahedron with S = 0.025, S = 0.12, and S = 0.4, respectively. The bottom panel shows the results of applying the Poincaré index method for the large-scale tetrahedron with S = 0.4.
Current usage metrics show cumulative count of Article Views (full-text article views including HTML views, PDF and ePub downloads, according to the available data) and Abstracts Views on Vision4Press platform.
Data correspond to usage on the plateform after 2015. The current usage metrics is available 48-96 hours after online publication and is updated daily on week days.
Initial download of the metrics may take a while.