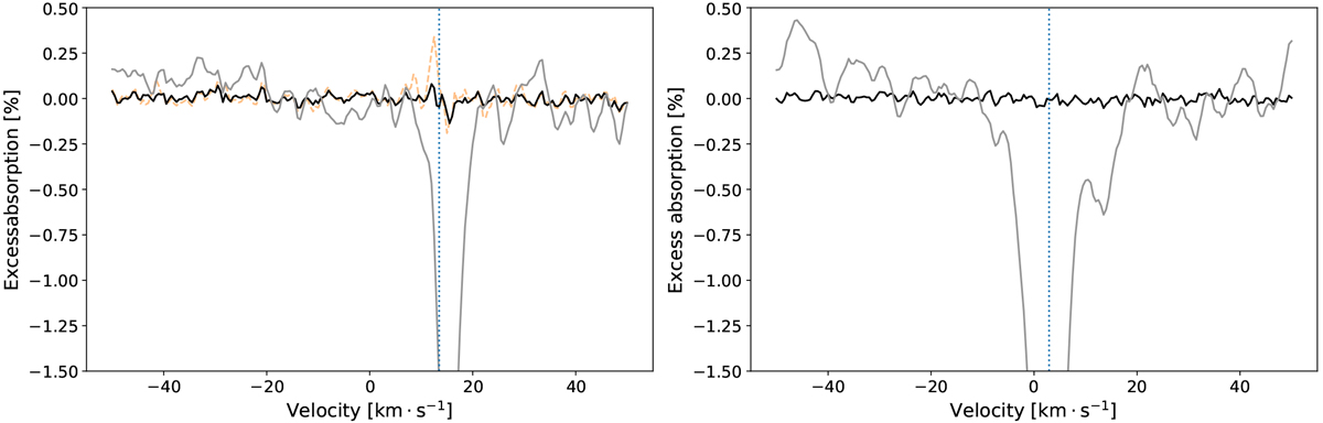
Fig. 5

Cross-correlation functions of the transmission spectrum corrected from the telluric features (black) and noncorrected (gray) in the stellar rest frame using the water vapor mask at 296 K for both nights (2019-02-24 and 2019-03-17 from left to right). For the 2019-02-24 night, the dashed orange CCF shows the impact of 20 deepest telluric lines if they are not masked. The blue dashed line shows the observer’s radial velocity, where telluric residuals would be expected.
Current usage metrics show cumulative count of Article Views (full-text article views including HTML views, PDF and ePub downloads, according to the available data) and Abstracts Views on Vision4Press platform.
Data correspond to usage on the plateform after 2015. The current usage metrics is available 48-96 hours after online publication and is updated daily on week days.
Initial download of the metrics may take a while.