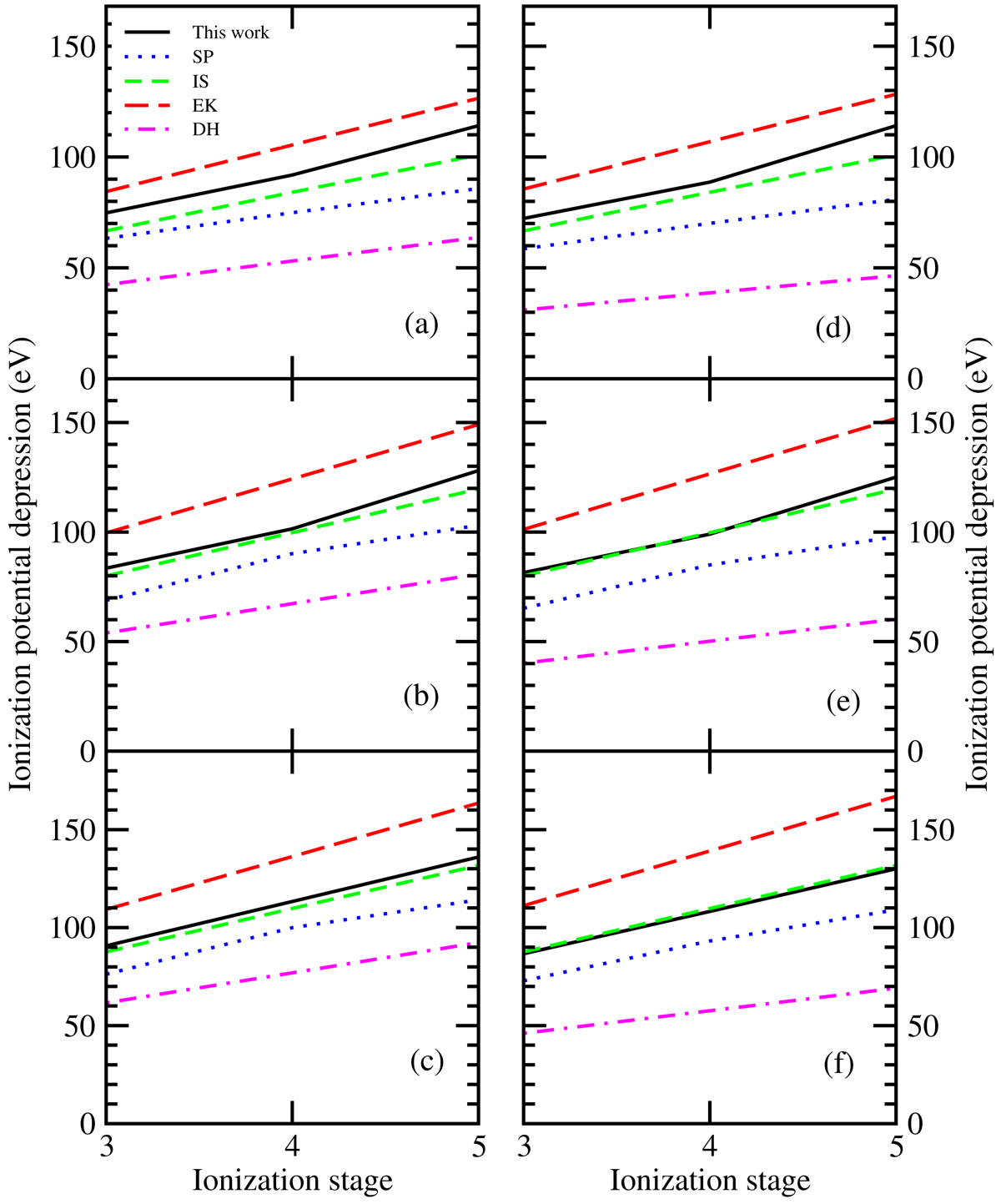
Fig. 3.

Ionization potential depressions of C plasma at a temperature of 200 eV and mass densities of 2.25 g cm−3 (a), 3.75 g cm−3 (b), and 5.0 g cm−3 (c) and at a temperature of 400 eV and mass densities of 2.25 g cm−3 (d), 3.75 g cm−3 (e), and 5.0 g cm−3 (f). Our results are compared with the Debye–Hückel (DH; Debye & Hückel 1923), Stewart–Pyatt (SP; Stewart & Pyatt 1966), ion-sphere (IS; Rozsnyai 1972), and Ecker–Kröll (EK; Ecker & Kröll 1963) analytical models.
Current usage metrics show cumulative count of Article Views (full-text article views including HTML views, PDF and ePub downloads, according to the available data) and Abstracts Views on Vision4Press platform.
Data correspond to usage on the plateform after 2015. The current usage metrics is available 48-96 hours after online publication and is updated daily on week days.
Initial download of the metrics may take a while.