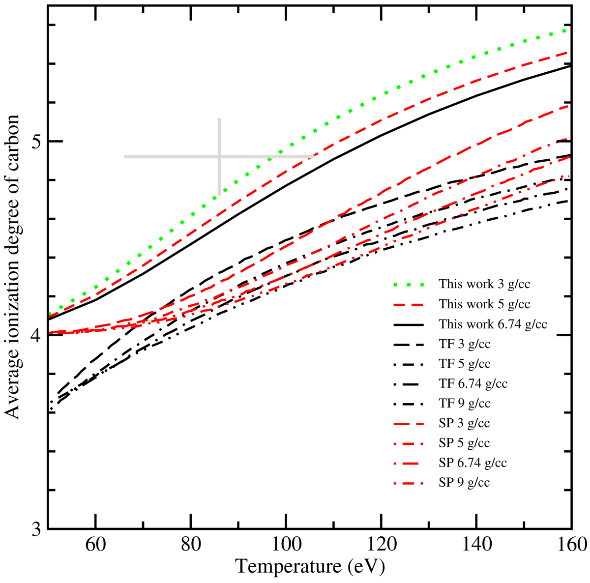
Fig. 6.

Comparison of the average ionization degree of C in a CH-mixture plasma obtained herein with the experimental and theoretical predictions obtained by the Stewart–Pyatt (SP) and Thomas–Fermi (TF) models at various plasma conditions (Kraus et al. 2016). The average ionization degree is given as a function of the plasma temperature at mass densities of 3.0 g cm−3, 5.0 g cm−3, 6.74 g cm−3, and 9.0 g cm−3.
Current usage metrics show cumulative count of Article Views (full-text article views including HTML views, PDF and ePub downloads, according to the available data) and Abstracts Views on Vision4Press platform.
Data correspond to usage on the plateform after 2015. The current usage metrics is available 48-96 hours after online publication and is updated daily on week days.
Initial download of the metrics may take a while.