Fig. 5.

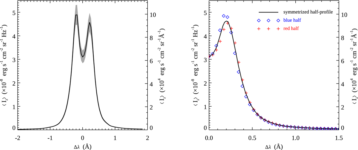
Left panel: reference quiet-Sun Lyman-α profile obtained as an average over eight observed SOHO/SUMER rasters. The grey area indicates the uncertainty of the reference profile estimated to be ±(15/)%. Right panel: half of the symmetrized reference Lyman-α profile with an indicated shape of the blue and the red part of the full profile.
Current usage metrics show cumulative count of Article Views (full-text article views including HTML views, PDF and ePub downloads, according to the available data) and Abstracts Views on Vision4Press platform.
Data correspond to usage on the plateform after 2015. The current usage metrics is available 48-96 hours after online publication and is updated daily on week days.
Initial download of the metrics may take a while.