Free Access

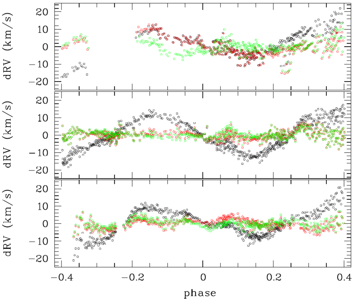
Fig. 14

image

Residuals of the RVs of the secondary after subtracting the best-fitting PHOEBE solutions without including spots (black), including one spot (red), and including two spots (green) on the secondary, obtained (from top to bottom) for seasons 2013a, 2015b, and 2016.

Current usage metrics show cumulative count of Article Views (full-text article views including HTML views, PDF and ePub downloads, according to the available data) and Abstracts Views on Vision4Press platform.

Data correspond to usage on the plateform after 2015. The current usage metrics is available 48-96 hours after online publication and is updated daily on week days.

Initial download of the metrics may take a while.