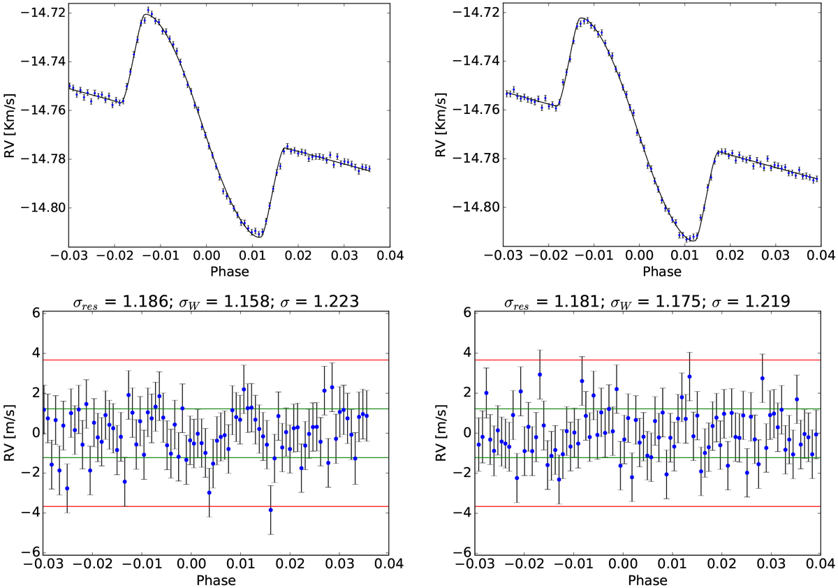
Fig. 2

Rossiter–McLaughlin curves and best fit models (upper panel), as well as residuals (lower panels) for the two separate nights (left and right for the first and second transits, respectively). Plots are shown as functions of orbital phase. The sigma values presented on top of each of the lower panels denote the dispersion of the residuals, the fit jitter, and the quadratic sum of the jitter with the average photon noise error, respectively.
Current usage metrics show cumulative count of Article Views (full-text article views including HTML views, PDF and ePub downloads, according to the available data) and Abstracts Views on Vision4Press platform.
Data correspond to usage on the plateform after 2015. The current usage metrics is available 48-96 hours after online publication and is updated daily on week days.
Initial download of the metrics may take a while.