Open Access

Fig. 7

image

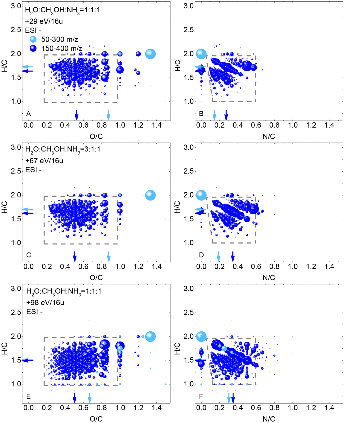
van Krevelen scatter plots of hydrogen to carbon versus oxygen to carbon (left panels) and versus nitrogen to carbon (right panels) in the three residues analysed in negative ESI mode in the mass ranges 50–300 (light-blue dots) and 150–400 (blue dots). Panels A and B: 1:1:1 + 29 eV/16 u residue; panels C and D: 3:1:1 + 67 eV/16 u residue; panels E and F: 1:1:1 + 98 eV/16 u residue. The size of the dots is given by the normalized intensity. Grey dashed lines delimit the zone of highest density of ions observed in the residues analysed by Danger et al. (2016). Arrows show the H/C, O/C and N/C weighted averages reported in Table 2 for the range 50–300 m/z (cyan arrows) and 150–400 m/z (blue arrows).

Current usage metrics show cumulative count of Article Views (full-text article views including HTML views, PDF and ePub downloads, according to the available data) and Abstracts Views on Vision4Press platform.

Data correspond to usage on the plateform after 2015. The current usage metrics is available 48-96 hours after online publication and is updated daily on week days.

Initial download of the metrics may take a while.