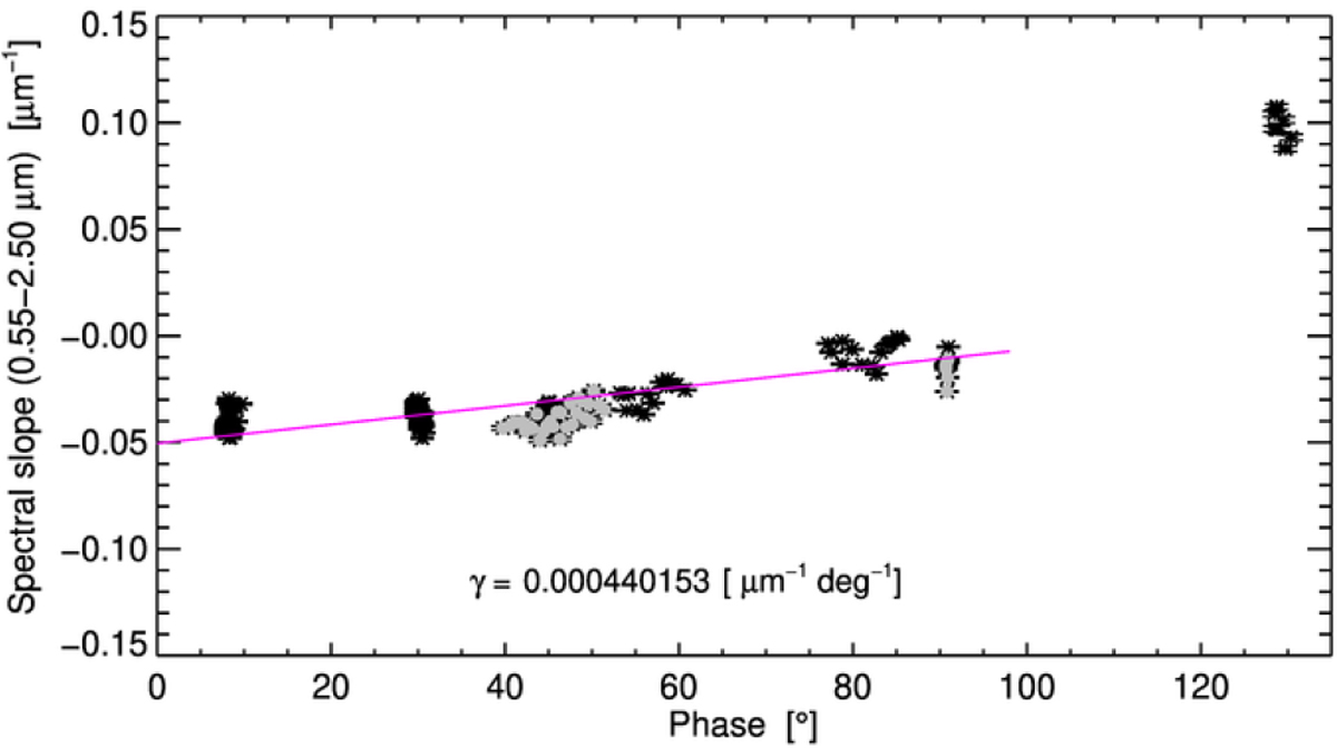
Fig. 6

Phase reddening in spectral slopes evaluated in the 0.55–2.50 μm range. The black asterisks represent data acquired in the Detailed Survey from March to September 2019, while the gray circles thoseacquired during the Preliminary Survey in 2018. The magenta line indicates the linear fit of the Detailed Survey data, which have a higher resolution than the PS (see Table 1), for a phase angle lower than 100°. Errors are smaller than the symbol size.
Current usage metrics show cumulative count of Article Views (full-text article views including HTML views, PDF and ePub downloads, according to the available data) and Abstracts Views on Vision4Press platform.
Data correspond to usage on the plateform after 2015. The current usage metrics is available 48-96 hours after online publication and is updated daily on week days.
Initial download of the metrics may take a while.