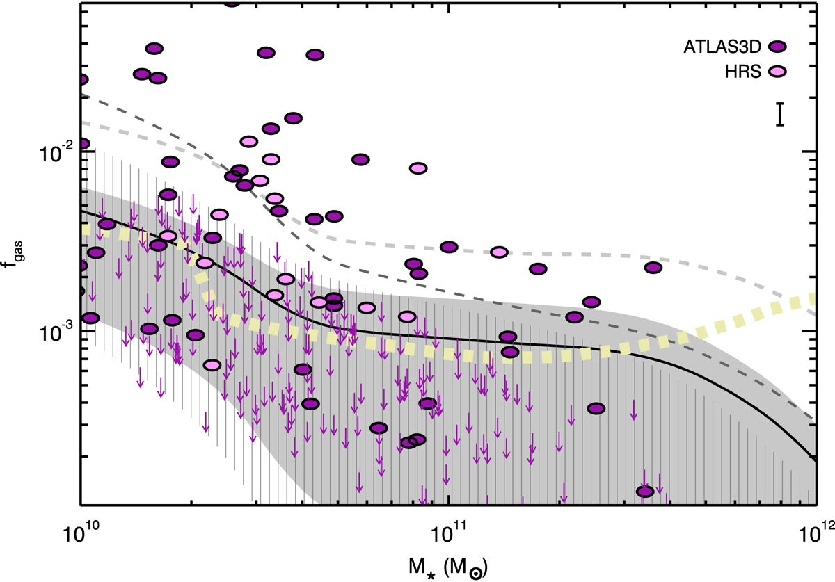
Fig. 3.

Gas fraction of z ∼ 0 ETGs in the ATLAS3D and HRS samples, as a function of stellar mass. Colored ellipses indicate detections (a typical error bar is shown in the upper right corner), and downward-pointing arrows indicate the 3σ upper limits of non-detections. The solid light-gray and hatched dark-gray regions correspond to constant and fractional-case models with fg, 0, f = 0, respectively, within the 1σ confidence interval of their respective fits. The dashed lines show the 1σ scatter in fgas predicted by the models, with respect to the best fit, shown here as a solid line. On the other hand, the best-fit model for the constant case and varying fg, 0, f is shown as a thick cream dashed line.
Current usage metrics show cumulative count of Article Views (full-text article views including HTML views, PDF and ePub downloads, according to the available data) and Abstracts Views on Vision4Press platform.
Data correspond to usage on the plateform after 2015. The current usage metrics is available 48-96 hours after online publication and is updated daily on week days.
Initial download of the metrics may take a while.