Free Access
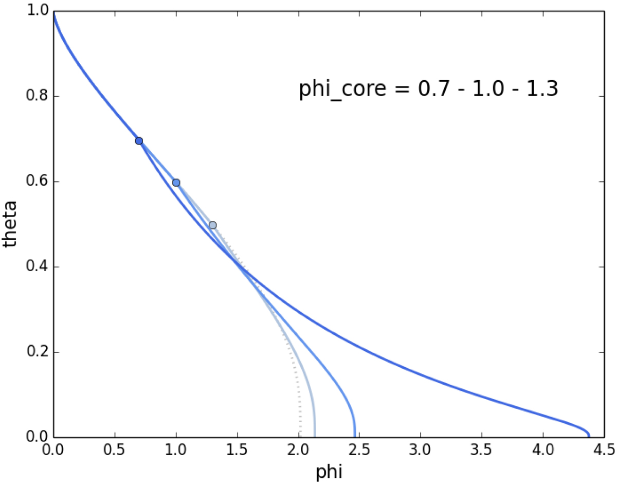
Fig. 5.

Hylotropic structures built according to Sect. 2.2, for the indicated values of φcore, the dimensionless mass of the core. The dotted line is the polytrope used for the core and a circle indicates φcore for the various models.
Current usage metrics show cumulative count of Article Views (full-text article views including HTML views, PDF and ePub downloads, according to the available data) and Abstracts Views on Vision4Press platform.
Data correspond to usage on the plateform after 2015. The current usage metrics is available 48-96 hours after online publication and is updated daily on week days.
Initial download of the metrics may take a while.