Free Access

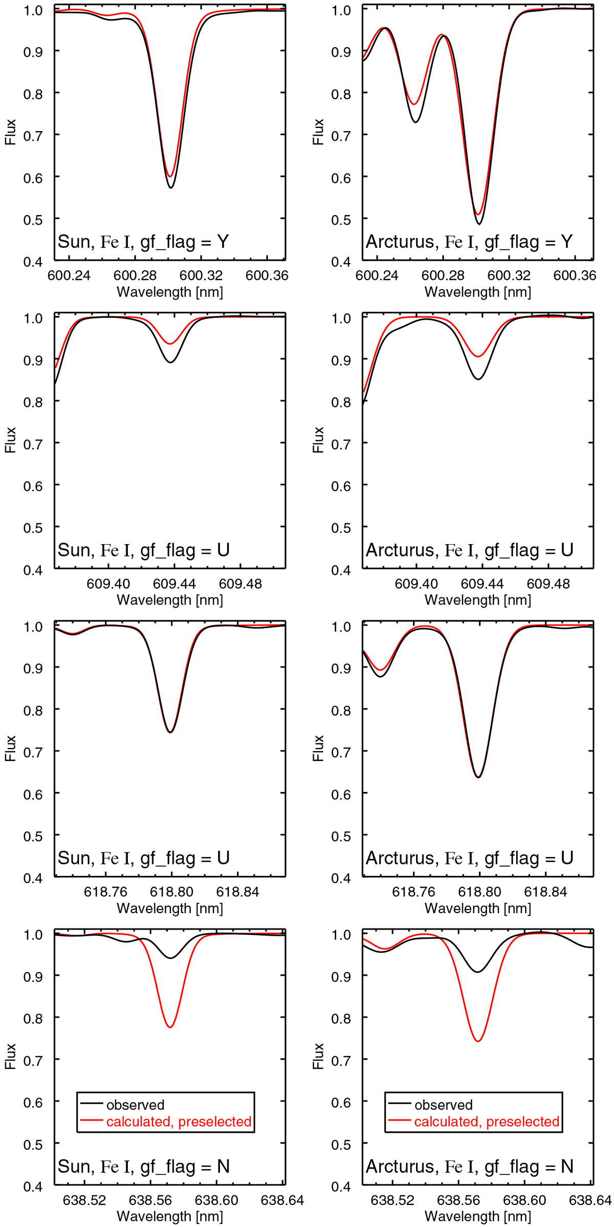
Fig. 1

image

Comparison of observed and calculated line profiles around four of the preselected Fe I lines with different gf_flag assignments for the Sun (left) and Arcturus (right). Black lines: observations, red lines: calculations including preselected spectral lines only. All of these lines are flagged with Y with respect to their blending properties. We would like to point out that the gf_flag assignments were based purely on the type of the gf-value sources. Theperformance of the lines in syntheses of the Sun and Arcturus were not taken into account. These are shown here for illustrative purposes only.

Current usage metrics show cumulative count of Article Views (full-text article views including HTML views, PDF and ePub downloads, according to the available data) and Abstracts Views on Vision4Press platform.

Data correspond to usage on the plateform after 2015. The current usage metrics is available 48-96 hours after online publication and is updated daily on week days.

Initial download of the metrics may take a while.