Free Access

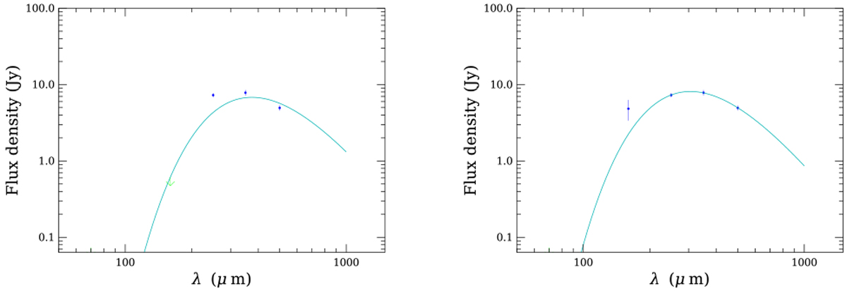
Fig. A.5

image

Effects on the SED when the measurement at 160 μm is used instead of the upper limit for undetected sources (see text). Left panel: best-fit with upper limit; right panel: best-fit witha measure.

Current usage metrics show cumulative count of Article Views (full-text article views including HTML views, PDF and ePub downloads, according to the available data) and Abstracts Views on Vision4Press platform.

Data correspond to usage on the plateform after 2015. The current usage metrics is available 48-96 hours after online publication and is updated daily on week days.

Initial download of the metrics may take a while.