Free Access

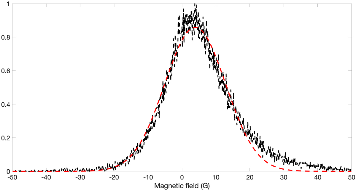
Fig. 6.

image

Distribution of SOLIS high-resolution field values at high southern latitudes (poleward of −70°) for CR 2052 (January 2007; black dashed line), together with the Gaussian fit to weak field values (red dashed line).

Current usage metrics show cumulative count of Article Views (full-text article views including HTML views, PDF and ePub downloads, according to the available data) and Abstracts Views on Vision4Press platform.

Data correspond to usage on the plateform after 2015. The current usage metrics is available 48-96 hours after online publication and is updated daily on week days.

Initial download of the metrics may take a while.