Free Access

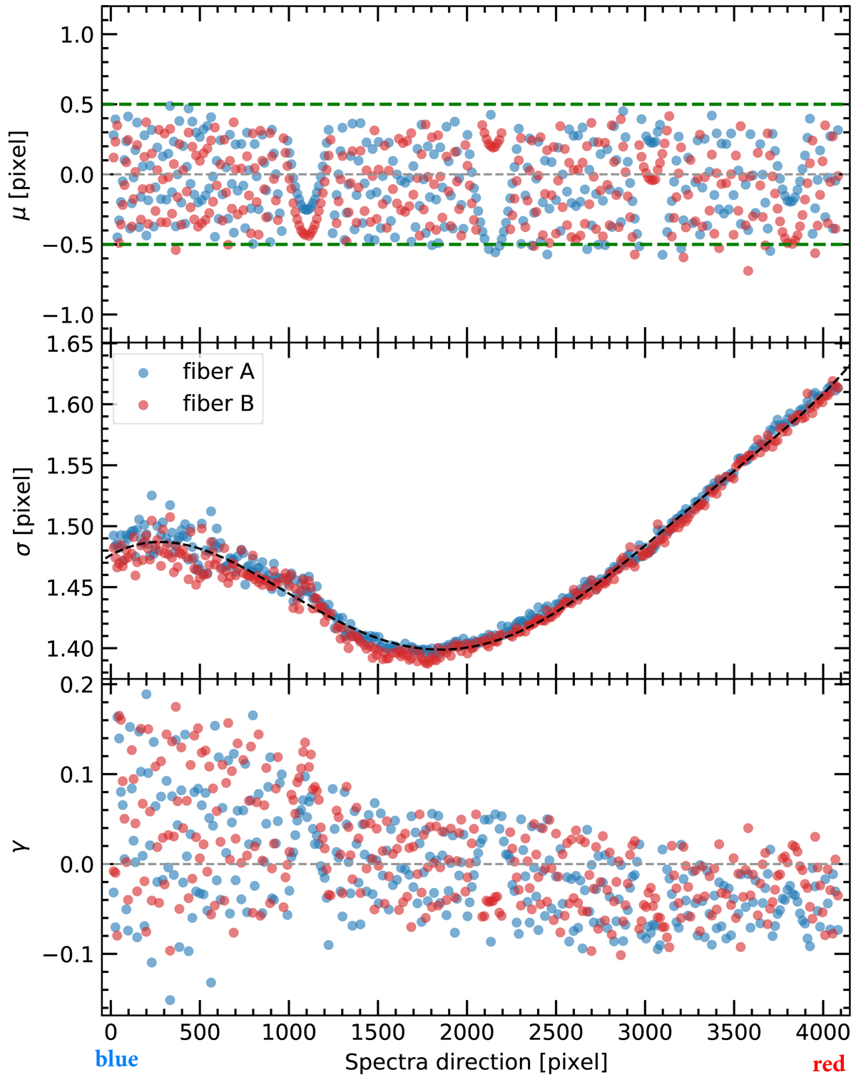
Fig. 2.

image

Visualization of moments varying across the detector. The top panel shows the first raw moment (μ) relative to the peak position (in pixels) of the 46th echelle order from a typical acquisition. The middle panel shows the distribution of the square root of the second central moment (σ). The bottom panel shows the normalized third moment (γ), or skewness, which defines the asymmetry of the lines. The serial register of the detector is located on the right-hand side, towards the redder wavelength.

Current usage metrics show cumulative count of Article Views (full-text article views including HTML views, PDF and ePub downloads, according to the available data) and Abstracts Views on Vision4Press platform.

Data correspond to usage on the plateform after 2015. The current usage metrics is available 48-96 hours after online publication and is updated daily on week days.

Initial download of the metrics may take a while.