Free Access

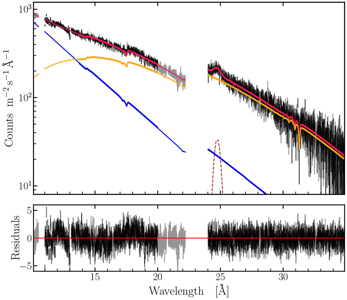
Fig. 1

image

Broadband best-fit to the X-ray spectrum of 4U 1820-30 with warm and cold absorption described in Sect. 3. We display only RGS1 and RGS2 (in grey and black, respectively) of obsID 008411 for clarity. We overlap the best model of the broadband spectrum (in red), which is made up of a Comptonisation model (in blue), and a blackbody (in orange). We also show the Gaussian (in brown) added to the model in order to fit the possible instrumental bump in excess centred at 24.7 Å. We divide the data for the instrumental effective area in order to clean the spectrum from the numerous instrumental features. Bottom panel: residuals defined as (observation-model)/error.

Current usage metrics show cumulative count of Article Views (full-text article views including HTML views, PDF and ePub downloads, according to the available data) and Abstracts Views on Vision4Press platform.

Data correspond to usage on the plateform after 2015. The current usage metrics is available 48-96 hours after online publication and is updated daily on week days.

Initial download of the metrics may take a while.