Fig. 16

image

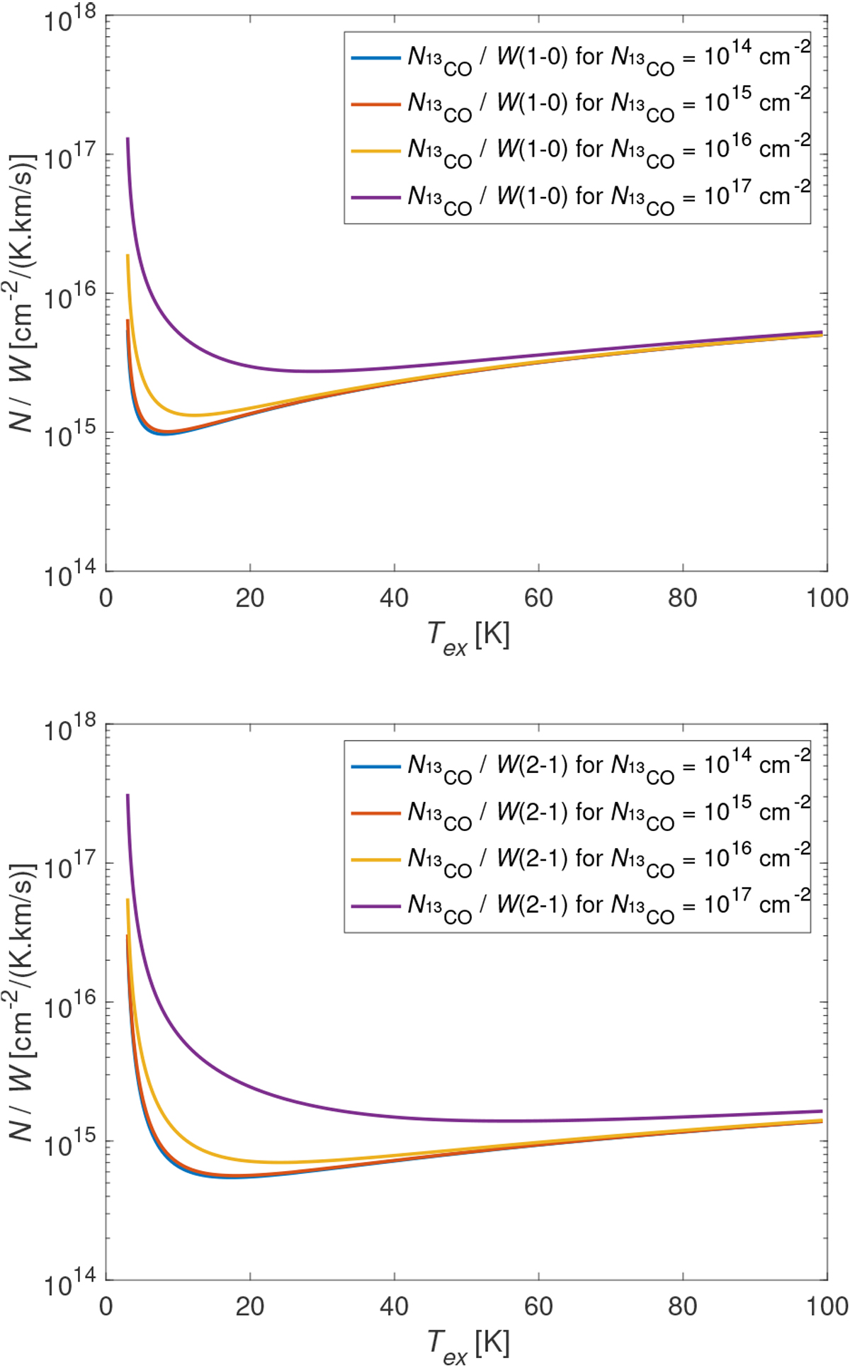
Plots of the 13CO column densities per unit intensity of 13CO(1−0) (top) and 13CO (2−1) (bottom) as a function of the excitation temperature. This plot is done for four values of the 13CO column density, and σV = 0.61 km s−1.

Current usage metrics show cumulative count of Article Views (full-text article views including HTML views, PDF and ePub downloads, according to the available data) and Abstracts Views on Vision4Press platform.

Data correspond to usage on the plateform after 2015. The current usage metrics is available 48-96 hours after online publication and is updated daily on week days.

Initial download of the metrics may take a while.