Free Access

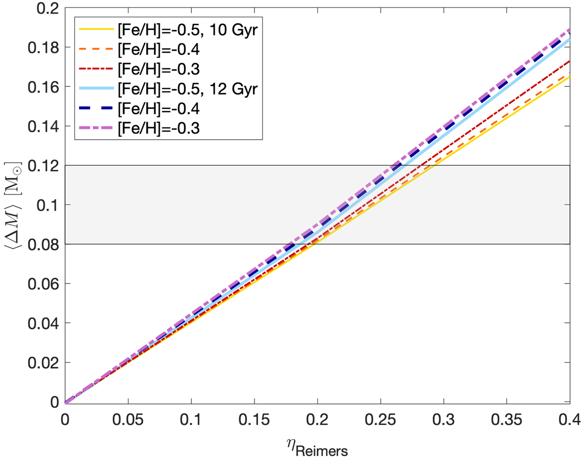
Fig. 15.

image

Difference between the average mass of RGB stars and RC stars as a function of Reimers’ η parameter for 10 and 12-Gyr PARSEC isochrones with metallicities representative of our sample. The grey area represent the 1-σ region of the observed ⟨ΔM⟩. We adopt a conservative uncertainty on ⟨ΔM⟩, see discussion in Sect. 5.1.

Current usage metrics show cumulative count of Article Views (full-text article views including HTML views, PDF and ePub downloads, according to the available data) and Abstracts Views on Vision4Press platform.

Data correspond to usage on the plateform after 2015. The current usage metrics is available 48-96 hours after online publication and is updated daily on week days.

Initial download of the metrics may take a while.