Open Access

Fig. 5

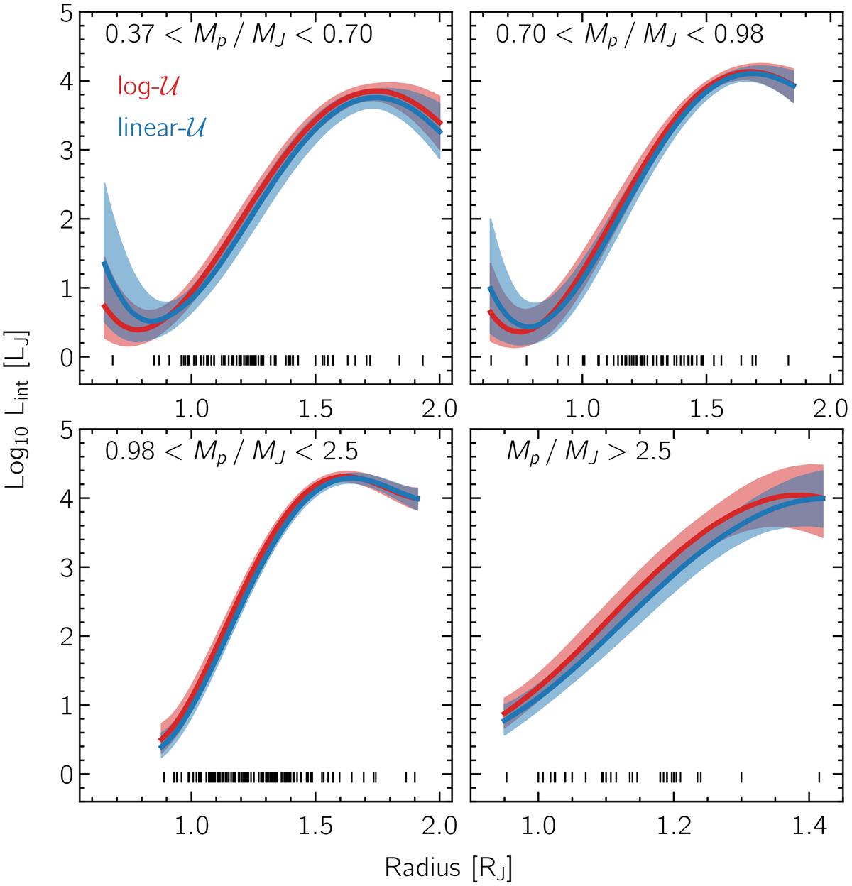
image

Mass–luminosity–radius (MLR) posterior distribution for four different mass bins showing the median (thick line) and 68% credible interval (shaded area) assuming a uniform prior in log (blue) and linear (red) space. Using either prior leads to almost identical results. The internal luminosity is high with the largest planets having a luminosity approximately four orders of magnitude larger than Jupiter.

Current usage metrics show cumulative count of Article Views (full-text article views including HTML views, PDF and ePub downloads, according to the available data) and Abstracts Views on Vision4Press platform.

Data correspond to usage on the plateform after 2015. The current usage metrics is available 48-96 hours after online publication and is updated daily on week days.

Initial download of the metrics may take a while.