Open Access

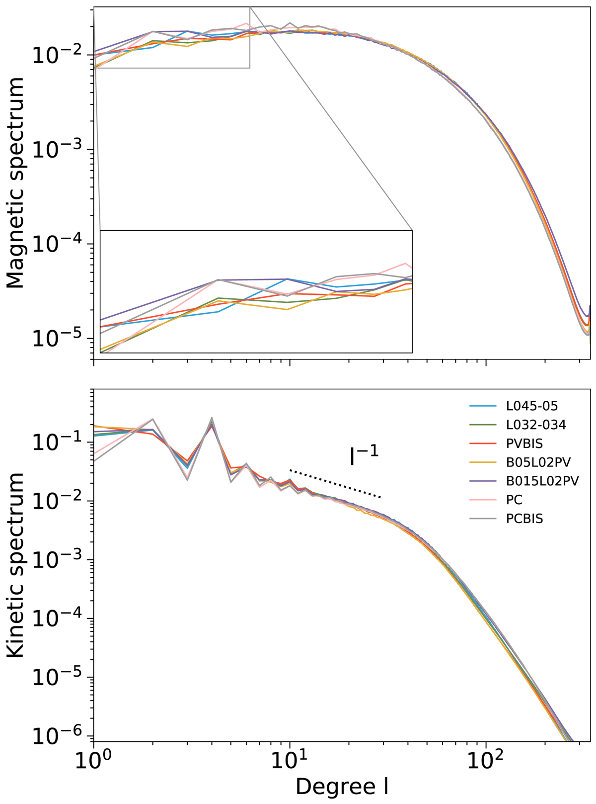
Fig. 14.

image

Top: spectrum of the magnetic energy as a function of the spherical harmonics order l. Bottom: spectrum of the poloidal kinetic energy as a function of the spherical harmonics order l. Each line is from a different model. The dotted line corresponds to a scaling of l−1.

Current usage metrics show cumulative count of Article Views (full-text article views including HTML views, PDF and ePub downloads, according to the available data) and Abstracts Views on Vision4Press platform.

Data correspond to usage on the plateform after 2015. The current usage metrics is available 48-96 hours after online publication and is updated daily on week days.

Initial download of the metrics may take a while.