Free Access

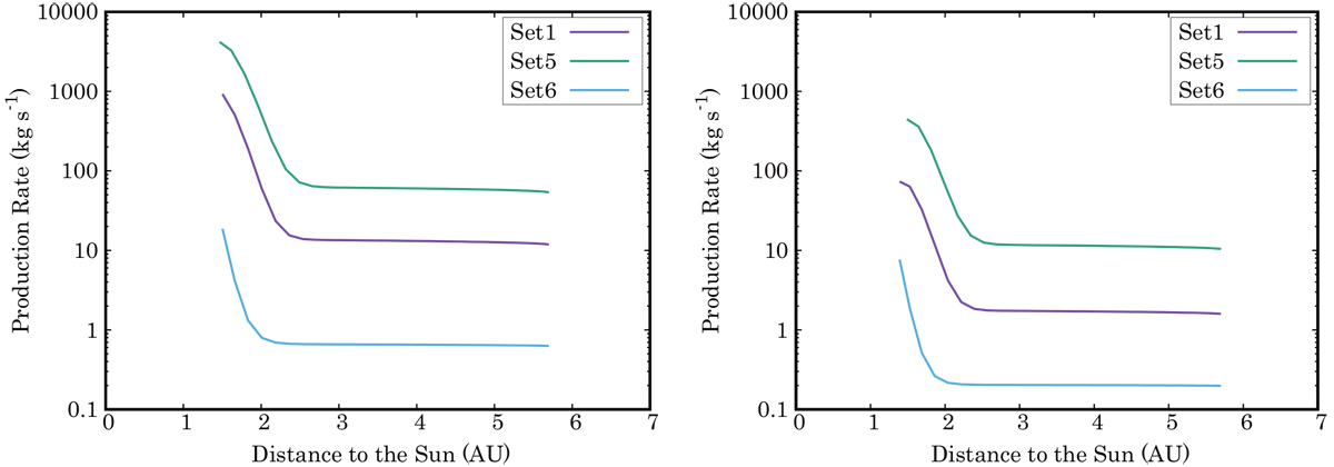
Fig. 7

image

Left: water production for Sets 1, 5, and 6, at seven comet years are depicted. This represents the specific case where 67P did not experience heating before 1959. Right: water production for Sets 1, 5, and 6 at 100 comet years. This case simulates the thermal processing of the surface of 67P for the long timescale beyond 1959.

Current usage metrics show cumulative count of Article Views (full-text article views including HTML views, PDF and ePub downloads, according to the available data) and Abstracts Views on Vision4Press platform.

Data correspond to usage on the plateform after 2015. The current usage metrics is available 48-96 hours after online publication and is updated daily on week days.

Initial download of the metrics may take a while.