Open Access

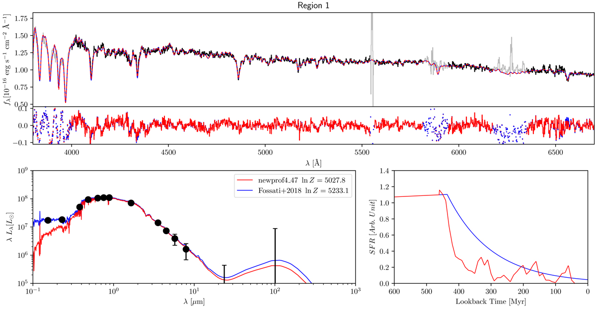
Fig. A.4.

image

Region 1. Upper panel: FORS2 spectrum (black), Fossati et al. model (blue), model 4new_47 with a diffuse ISM component and a variable Lyscale scale parameter (red). Middle panel: fit residuals. Lower-left panel: observed SED (black), Fossati et al. model (blue), model 4new_47 (red). Lower-right panel: SFH, Fossati et al. model (blue), model 4new_47 (red).

Current usage metrics show cumulative count of Article Views (full-text article views including HTML views, PDF and ePub downloads, according to the available data) and Abstracts Views on Vision4Press platform.

Data correspond to usage on the plateform after 2015. The current usage metrics is available 48-96 hours after online publication and is updated daily on week days.

Initial download of the metrics may take a while.