Open Access

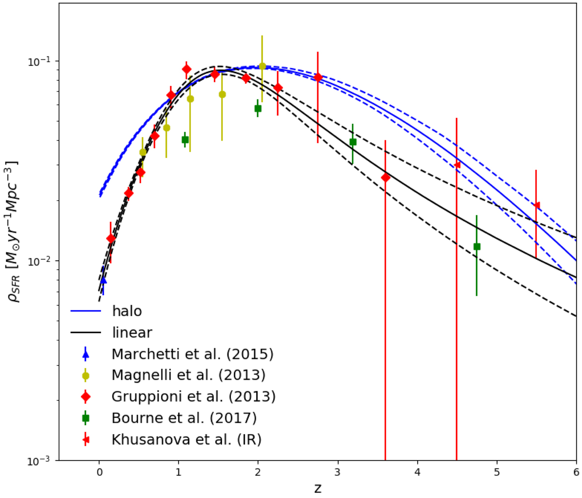
Fig. A.1.

image

Measurements of the SFRD using galaxy surveys (Madau & Dickinson 2014). The solid black line shows the SFRD as measured by the CIB linear model of Maniyar et al. (2018). The solid blue line shows the corresponding constraints when the SFRD values from the galaxies are not considered as priors while performing the fit of the CIB halo model. The dotted black and red lines show the 1σ regions.

Current usage metrics show cumulative count of Article Views (full-text article views including HTML views, PDF and ePub downloads, according to the available data) and Abstracts Views on Vision4Press platform.

Data correspond to usage on the plateform after 2015. The current usage metrics is available 48-96 hours after online publication and is updated daily on week days.

Initial download of the metrics may take a while.