Open Access

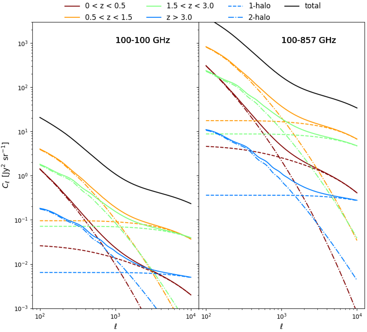
Fig. 8.

image

Redshift contribution to the power spectra of the CIB−tSZ correlation at for 100−100 GHz channel pair (left panel) and 100−857 GHz channel pair (right panel). All the values shown here are absolute values.

Current usage metrics show cumulative count of Article Views (full-text article views including HTML views, PDF and ePub downloads, according to the available data) and Abstracts Views on Vision4Press platform.

Data correspond to usage on the plateform after 2015. The current usage metrics is available 48-96 hours after online publication and is updated daily on week days.

Initial download of the metrics may take a while.