Free Access

Fig. 11.

image

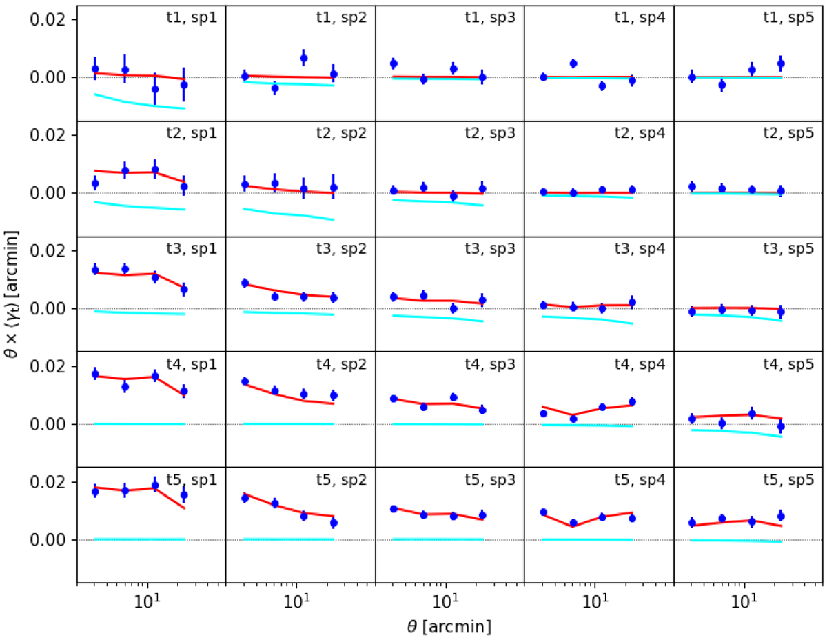
Azimuthally averaged tangential shear around BOSS galaxies (blue data points) for each tomographic (labelled ‘t 1-5’) and spectroscopic (‘sp 1-5’) redshift bin combination. These can be compared with the best-fit Ai(θ) with IA model (red lines) which is consistent with the data at the 1.6σ level. The cyan lines display the predicted contribution to the tangential shear model from intrinsic alignments, scaled by a factor of five to aid visualisation.

Current usage metrics show cumulative count of Article Views (full-text article views including HTML views, PDF and ePub downloads, according to the available data) and Abstracts Views on Vision4Press platform.

Data correspond to usage on the plateform after 2015. The current usage metrics is available 48-96 hours after online publication and is updated daily on week days.

Initial download of the metrics may take a while.