Free Access

Fig. 3

image

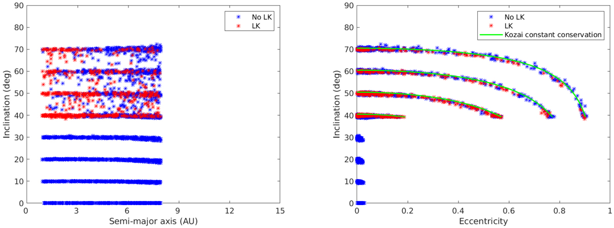
Inclination of the planets as a function of the semimajor axis (left panel) and the eccentricity (right panel) at the end of the simulations (100 Myr). The planets evolving in the Lidov-Kozai resonance are drawn in red.

Current usage metrics show cumulative count of Article Views (full-text article views including HTML views, PDF and ePub downloads, according to the available data) and Abstracts Views on Vision4Press platform.

Data correspond to usage on the plateform after 2015. The current usage metrics is available 48-96 hours after online publication and is updated daily on week days.

Initial download of the metrics may take a while.