Free Access

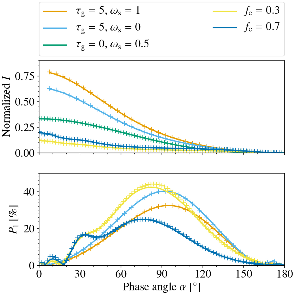
Fig. 2

image

Normalized reflected flux (top) and degree of linear polarization (bottom) as a function of the phase angle α for various atmospheric models τg = 5, 0, 0.097; ωs = 1, 0.5, 0; fc = 0, 0.3, 0.7). Shown are the cloud-free homogeneous atmosphere (model I; orange and light blue lines), the Lambertian reflecting sphere without an atmosphere τg = 0; green line), and the cloudy inhomogeneous atmosphere (model II; yellow and dark blue lines) with various cloud fractions fc. Our numerical calculations (plus symbols) are compared with results by Buenzli & Schmid (2009) for the homogeneous atmosphere, with the analytical solution by Russell (1916) for the Lambertian reflecting sphere, and with the results by Karalidi et al. (2012) for the inhomogeneous atmosphere. The color-coding applies to both panels. See Sects. 3.1 and 3.2 for details.

Current usage metrics show cumulative count of Article Views (full-text article views including HTML views, PDF and ePub downloads, according to the available data) and Abstracts Views on Vision4Press platform.

Data correspond to usage on the plateform after 2015. The current usage metrics is available 48-96 hours after online publication and is updated daily on week days.

Initial download of the metrics may take a while.