Highlight
Open Access

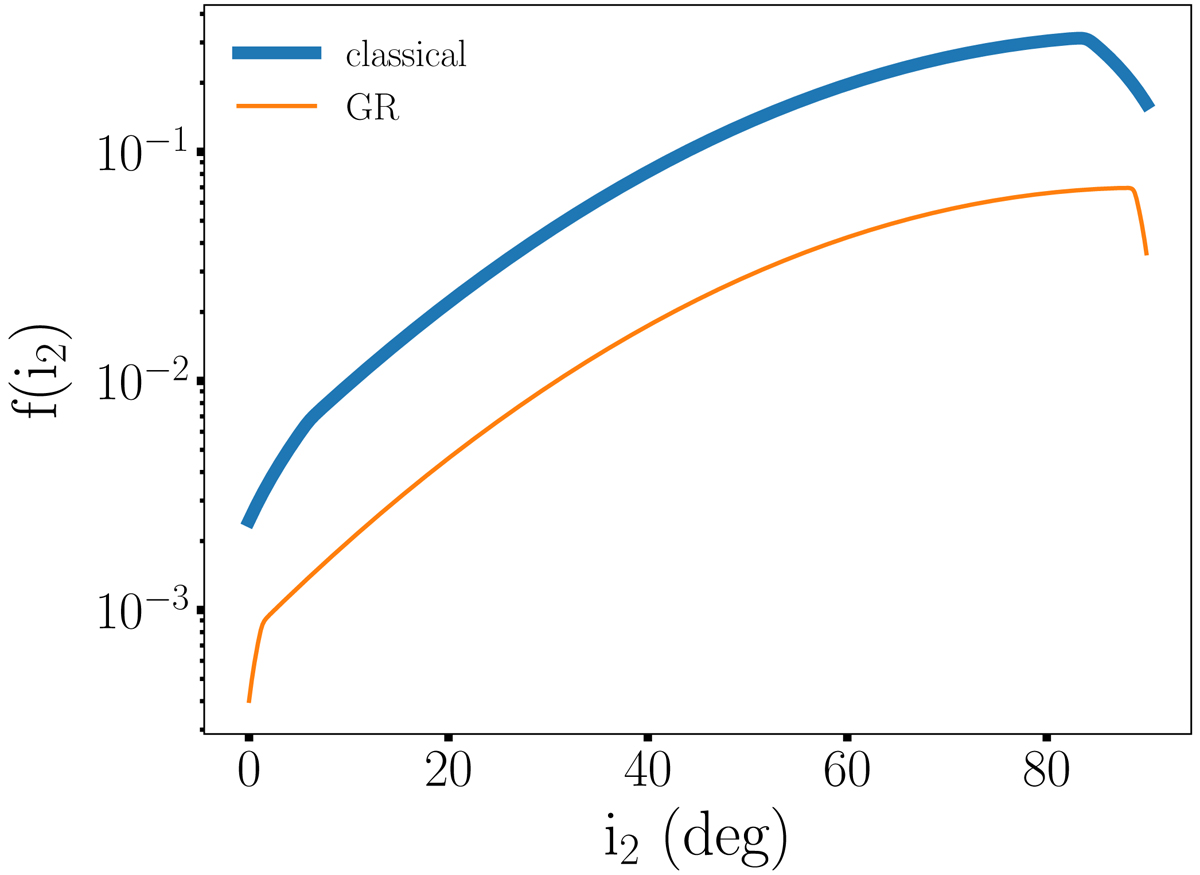
Fig. C.1.

image

Fraction of asteroids reaching the Roche limit via the quadrupolar Kozai-Lidov effect in the classical calculation (blue) and in the general relativity case (orange), as a function of the outer body inclination i2. Its mass is set to m1 = 10 M. The density of the asteroids are set to ρast = 2 g cm−3 and their semi-major axes follow a Normal law with mean semi-major axis ⟨aast⟩ = 1 AU and standard deviation σa = 0.15 ⟨aast⟩.

Current usage metrics show cumulative count of Article Views (full-text article views including HTML views, PDF and ePub downloads, according to the available data) and Abstracts Views on Vision4Press platform.

Data correspond to usage on the plateform after 2015. The current usage metrics is available 48-96 hours after online publication and is updated daily on week days.

Initial download of the metrics may take a while.