Open Access

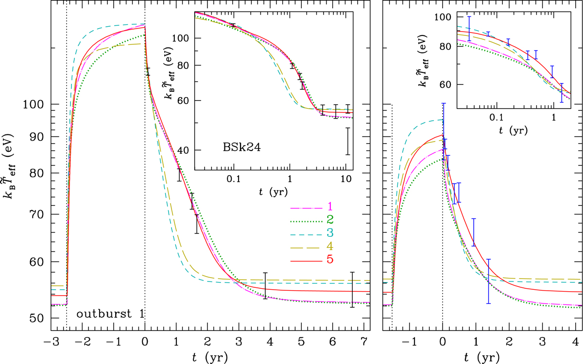
Fig. 17.

image

Simulated light curves for the outbursts I (left panel) and II (right panel) of MXB 1659−29 versus observations. The light curves have been computed using the BSk24 EoS model for a neutron star with M = 1.65 M with a partially accreted envelope under different assumptions on the envelope and crust composition. The envelope is composed either of carbon (curves 1, 2) or of helium (curves 3–5). The accreted crust is modeled according to F+18 and is assumed to extend down to ρacc = 1013 g cm−3. Beyond this density, the non-accreted crust is either in a ground-state (curves 1, 3) or in a frozen equilibrium state (curves 2, 4, 5). The accreted crust is either pure (curves 1–4) or not (curve 5). The errorbars show the spectral fitting results from Parikh et al. (2019) (at the 90% confidence), except for the two bars at t = 10.8 yr in the left-panel inset, which represent two alternative fits from Cackett et al. (2013). In the numerical simulations, the long-term mean accretion rate is adjusted to the equilibrium value within uncertainties and the shallow heating is adjusted so as to reproduce the first observation in quiescence after outburst I, within the uncertainties. The parameters of the simulations are listed in Table 1 (see the text for details).

Current usage metrics show cumulative count of Article Views (full-text article views including HTML views, PDF and ePub downloads, according to the available data) and Abstracts Views on Vision4Press platform.

Data correspond to usage on the plateform after 2015. The current usage metrics is available 48-96 hours after online publication and is updated daily on week days.

Initial download of the metrics may take a while.