Open Access

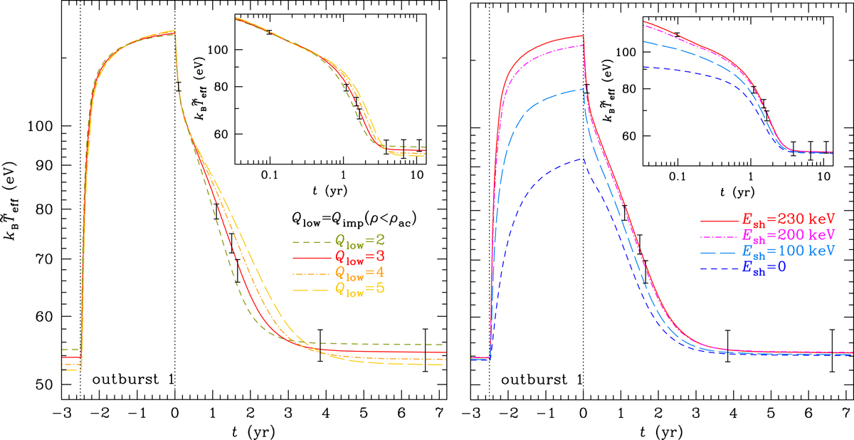
Fig. 19.

image

Variations of simulated light curves with a varying impurity parameter, Qimp, in the accreted crust (left panel) or varying shallow heat, Esh (right panel). In both panels, errorbars reproduce the observations at the cooling stage after outburst I and the solid red curve is the best-fitting curve 5 from the left panel of Fig. 17. Other curves show the light curves with increased or decreased Qimp or Esh, according to the legend.

Current usage metrics show cumulative count of Article Views (full-text article views including HTML views, PDF and ePub downloads, according to the available data) and Abstracts Views on Vision4Press platform.

Data correspond to usage on the plateform after 2015. The current usage metrics is available 48-96 hours after online publication and is updated daily on week days.

Initial download of the metrics may take a while.