Open Access

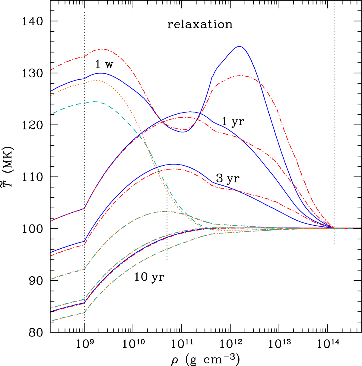
Fig. 6.

image

Redshifted temperature as function of mass density at one week and one, three, and ten years after the outburst for the same models of the crust as in Fig. 5. The redshifted temperature in the core is fixed at K. The long vertical dotted lines mark the boundaries of the crust with the envelope and the core. The shorter vertical dotted line marks the interface between the accreted and ground-state matter in the models of partially accreted envelope.

Current usage metrics show cumulative count of Article Views (full-text article views including HTML views, PDF and ePub downloads, according to the available data) and Abstracts Views on Vision4Press platform.

Data correspond to usage on the plateform after 2015. The current usage metrics is available 48-96 hours after online publication and is updated daily on week days.

Initial download of the metrics may take a while.