Highlight
Free Access

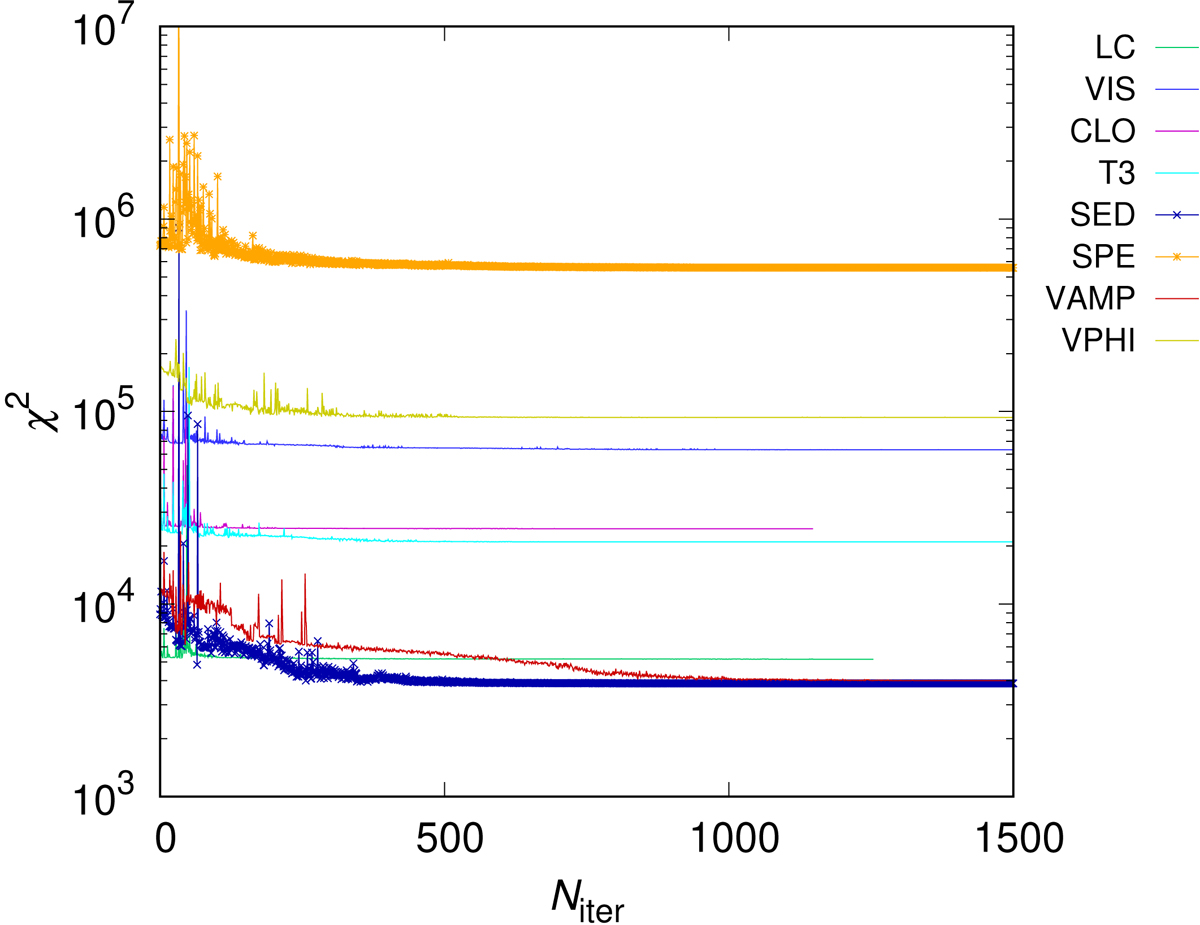
Fig. 17.

image

χ2 convergence for observation-specific models, when starting from the best-fit joint model. After performing up to 103 iterations, substantial improvements were achieved for some datasets (LC, T3, SED, VAMP, etc.). It confirms systematic differences between observational datasets.

Current usage metrics show cumulative count of Article Views (full-text article views including HTML views, PDF and ePub downloads, according to the available data) and Abstracts Views on Vision4Press platform.

Data correspond to usage on the plateform after 2015. The current usage metrics is available 48-96 hours after online publication and is updated daily on week days.

Initial download of the metrics may take a while.