Highlight
Free Access

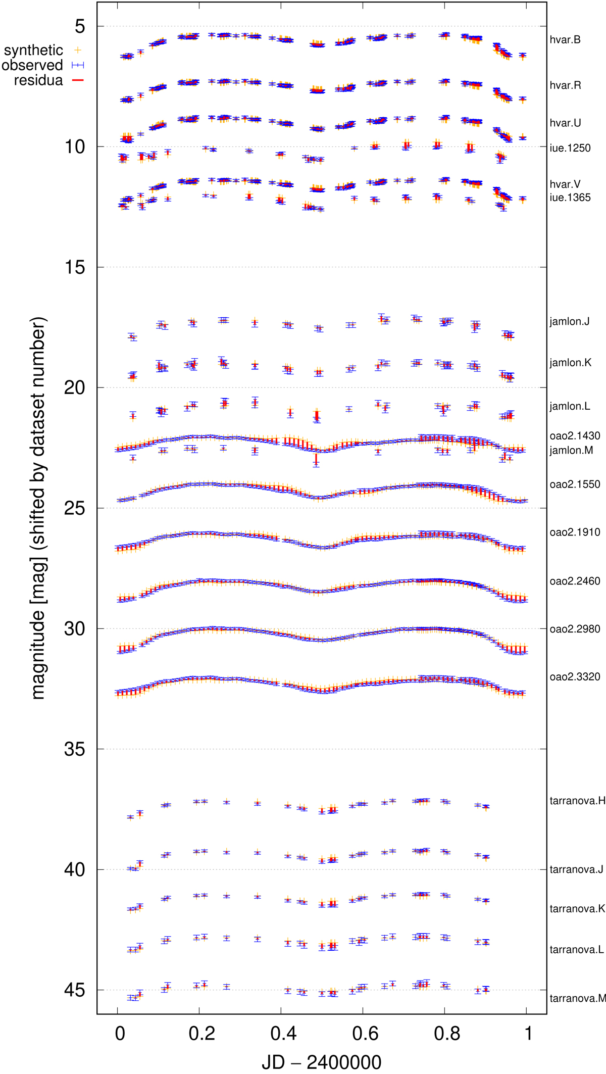
Fig. 7.

image

Comparison of observed and synthetic phased light curves from FIR to FUV, computed for joint (“compromise”) model. The names of datasets are shown in the right column. The light curves were arbitrarily shifted in the vertical direction.

Current usage metrics show cumulative count of Article Views (full-text article views including HTML views, PDF and ePub downloads, according to the available data) and Abstracts Views on Vision4Press platform.

Data correspond to usage on the plateform after 2015. The current usage metrics is available 48-96 hours after online publication and is updated daily on week days.

Initial download of the metrics may take a while.