Free Access

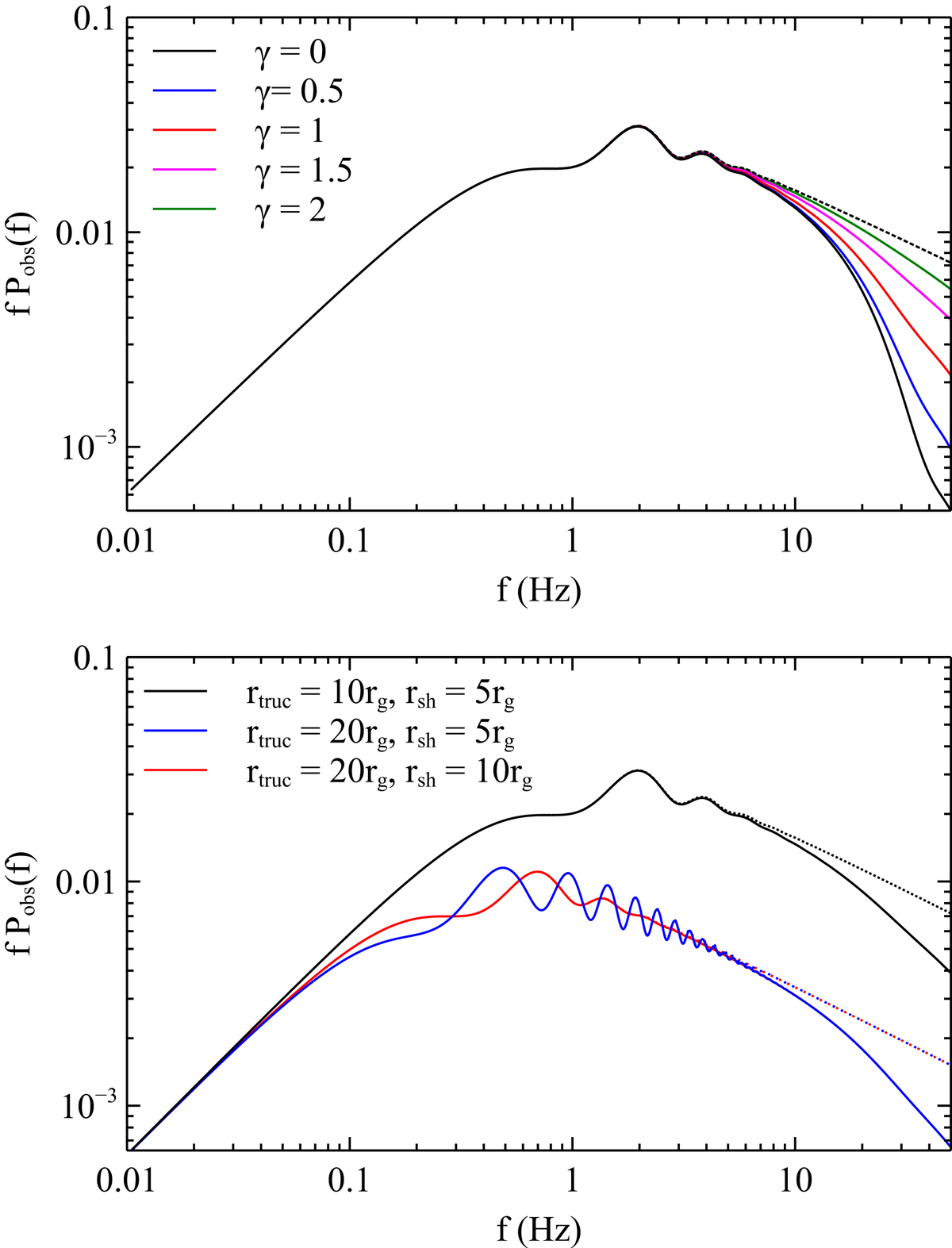
Fig. 5.

image

Top panel: total PSD in 0.3–0.7 keV band varying with γ when i = 30°, rtrc = 10rg, rsh = 5rg, ϵ = 0.1 and (H/R)2α = 0.01. Bottom panel: total PSD in 0.3–0.7 keV band varying the geometry of the system with γ = 1.5. All dotted lines represents the corresponding cases with reverberation excluded. The reduction of power at high frequencies is produced by reverberation.

Current usage metrics show cumulative count of Article Views (full-text article views including HTML views, PDF and ePub downloads, according to the available data) and Abstracts Views on Vision4Press platform.

Data correspond to usage on the plateform after 2015. The current usage metrics is available 48-96 hours after online publication and is updated daily on week days.

Initial download of the metrics may take a while.