Free Access

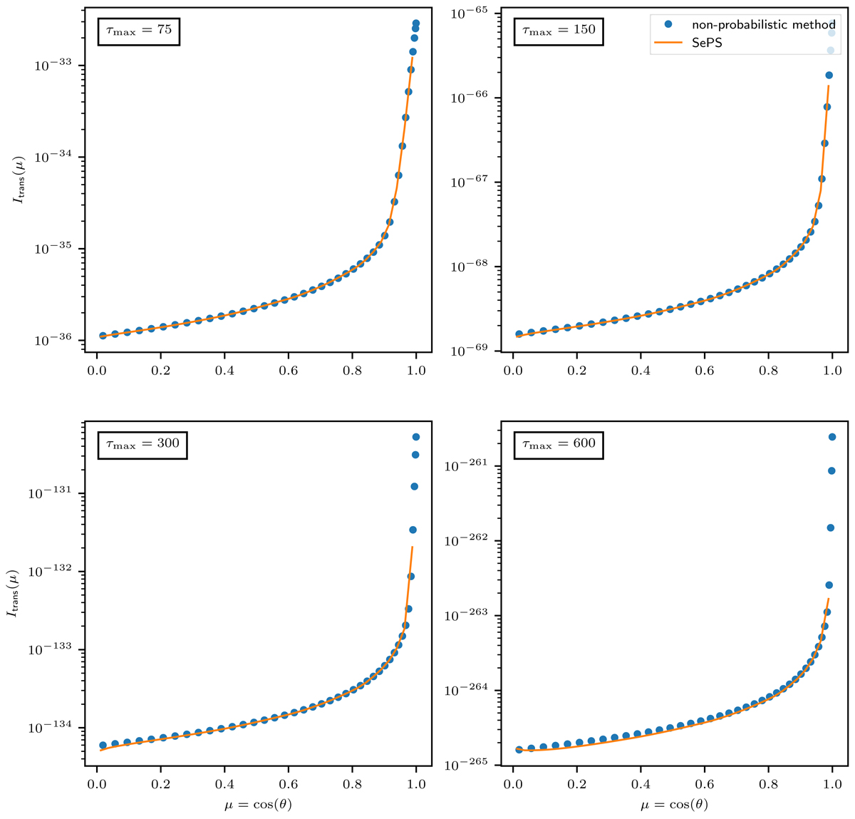
Fig. B.2.

image

Results for the transmitted intensity Itrans through an infinite plane-parallel slab with an albedo of A = 0.9 and for transverse optical depths τmax ∈ {75,150,300,600}, where μ = cos(θ) is the cosine of the penetration angle θ. The SePS method (solid lines) is compared against results from a non-probabilistic numerical method (dotted lines). For details, see Sect. 4.1.

Current usage metrics show cumulative count of Article Views (full-text article views including HTML views, PDF and ePub downloads, according to the available data) and Abstracts Views on Vision4Press platform.

Data correspond to usage on the plateform after 2015. The current usage metrics is available 48-96 hours after online publication and is updated daily on week days.

Initial download of the metrics may take a while.