Free Access

Fig. 6.

image

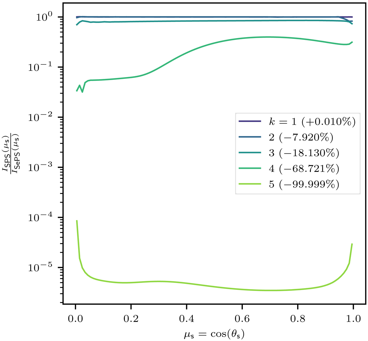
Ratio of emission spectra ISePS to ISPS, which use the SePS method and the SPS method, respectively, during the precalculation. The SPS method reaches increasingly lower intensities for increasing sphere sizes (i.e., for higher values of k). Shown in brackets is the total loss of emitted luminosity when using the SPS method compared to the SePS method. For details, see Sect. 3.2.1.

Current usage metrics show cumulative count of Article Views (full-text article views including HTML views, PDF and ePub downloads, according to the available data) and Abstracts Views on Vision4Press platform.

Data correspond to usage on the plateform after 2015. The current usage metrics is available 48-96 hours after online publication and is updated daily on week days.

Initial download of the metrics may take a while.