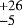
Table 10
Comparison of results in the present studies to 1σ or 3σ upper limits published in other articles.
| Companion | Reffert & Quirrenbach (2011) | Other publications | Present study | |||
|---|---|---|---|---|---|---|
| Ic | True mass | Ic | True mass | Ic | True mass | |
| (3-σ; °) | (3-σ; MJ) | (1-σ; °) | (1-σ; MJ) | (1 or 3σ; °) | (1 or 3σ; MJ) | |
| Well-constrained mass with GASTON at 1-σ | ||||||
| 30 Ari B b | (3.8, 174.8) | <162.2 | ||||
| HD 114762 b | (4.1, 176.7) | <233.0 | ||||
| HD 141937 b | (11.0, 166.2) | <51.7 | ||||
| HD 148427 b | (4.8, 176.6) (†) | <265 | ||||
| HD 5388 b | (1.0, 179.0) | <124.3 | 178.3 |
62.2 ± 19.9 (b) | 1.4 ± 0.2 | |
| 3σ limits with GASTON | ||||||
| HD 33636 b | (2.9, 176.8) | <207.3 | 4.0 ± 0.1 (c) | (c) 142 ± 11 | >6.02 | <93.5 |
| HD 87883 b | (4.9, 34.9) | (3.1, 21.4) | >4.9 | <21 | ||
| HD 92788 b | (2.5, 178.0) | <113.6 | 6.3; (d) (0,22) (e) | 45; (d) (9, 28) (e) | >4.0 | <52 |
| HD 102195 b | (0.0,180.0) | – | (72.5, 84.79) (f) | 0.46 ± 0.03 (f) | >0.21 | <133 |
| HD 128311 c | (7.5, 171.1) | <25.2 | 55.950 ± 14.553 (g) | 3.789 |
>4.0 | <49 |
| HD 130322 b | (0.0, 180.0) | – | 76 |
1.1 |
>0.59 | <108 |
| HD 131664 b | (153.9, 171.5) | (42.3, 131.6) | 55 ± 33 (h) | 23 |
>6.6 | <170 |
| HD 136118 b | (138, 172.7) | <95.3 | 163.1 ± 3.0 (i) | 42 |
>7.25 | <97 |
| HD 142022 b | (4.2, 49.1) | (4.6, 102.2) | >4.348 | <38.84 | ||
| HD 154345 b | (1.7,178.1) | <32.6 | 50 |
1.2 |
>4.7 | <12 |
| HD 177830 b | (0.9, 179.6) | <225.2 | 1.3 (d) | 55 (d) | >1 | <79 |
| HD 181720 b | (0.1,3.4) | (6.1, 217.9) | >0.68 | <32 | ||
| HD 190228 b | (2.5, 40.8) | (9.1, 142.9) | 4.3 |
49 (j) ± 15 | >1.56 | <111.4 |
Notes. Inclinations should be compared modulo 180° since in the present study the prograde or retrograde orientation of the orbital motion cannot be determined. We present the 1σ confidence interval for the inclinations and masses when they are well constrained in the present study and obtained with a sin Ic prior distribution on the inclination, and the 3σ limits obtained with a flat prior distribution otherwise. We believe there is an issue in Reffert & Quirrenbach (2011) for this companion, since its m sin i is ~1 MJ and the inclination, and true mass 3σ constraints are not compatible with each other. (a)From Kiefer (2019); this values does not account for the astrometric motion of HD 114762 A due to the wide-binary component HD 114762 B. (b) From Sahlmann et al. 2011b. (c) From Bean et al. (2007) with astrometry from the HST/FGS. (d)From Han et al. (2001). No confidence intervals are given. (e)From Simpson et al. (2010). Derived from parent star rotation axis inclination, assuming coplanarity of stellar equator and planet orbit. (f) From Guilluy et al. (2019) by extracting the spectra emitted by this non-transiting planet. (g) From McArthur et al. (2014) with astrometry from the HST/FGS. (h)From Sozzetti & Desidera (2010) with HIPPARCOS astrometry. (i) From Martioli et al. (2010) with astrometry from the HST/FGS. (j)From Sahlmann et al. (2011a) with HIPPARCOS astrometry.
Current usage metrics show cumulative count of Article Views (full-text article views including HTML views, PDF and ePub downloads, according to the available data) and Abstracts Views on Vision4Press platform.
Data correspond to usage on the plateform after 2015. The current usage metrics is available 48-96 hours after online publication and is updated daily on week days.
Initial download of the metrics may take a while.