Free Access

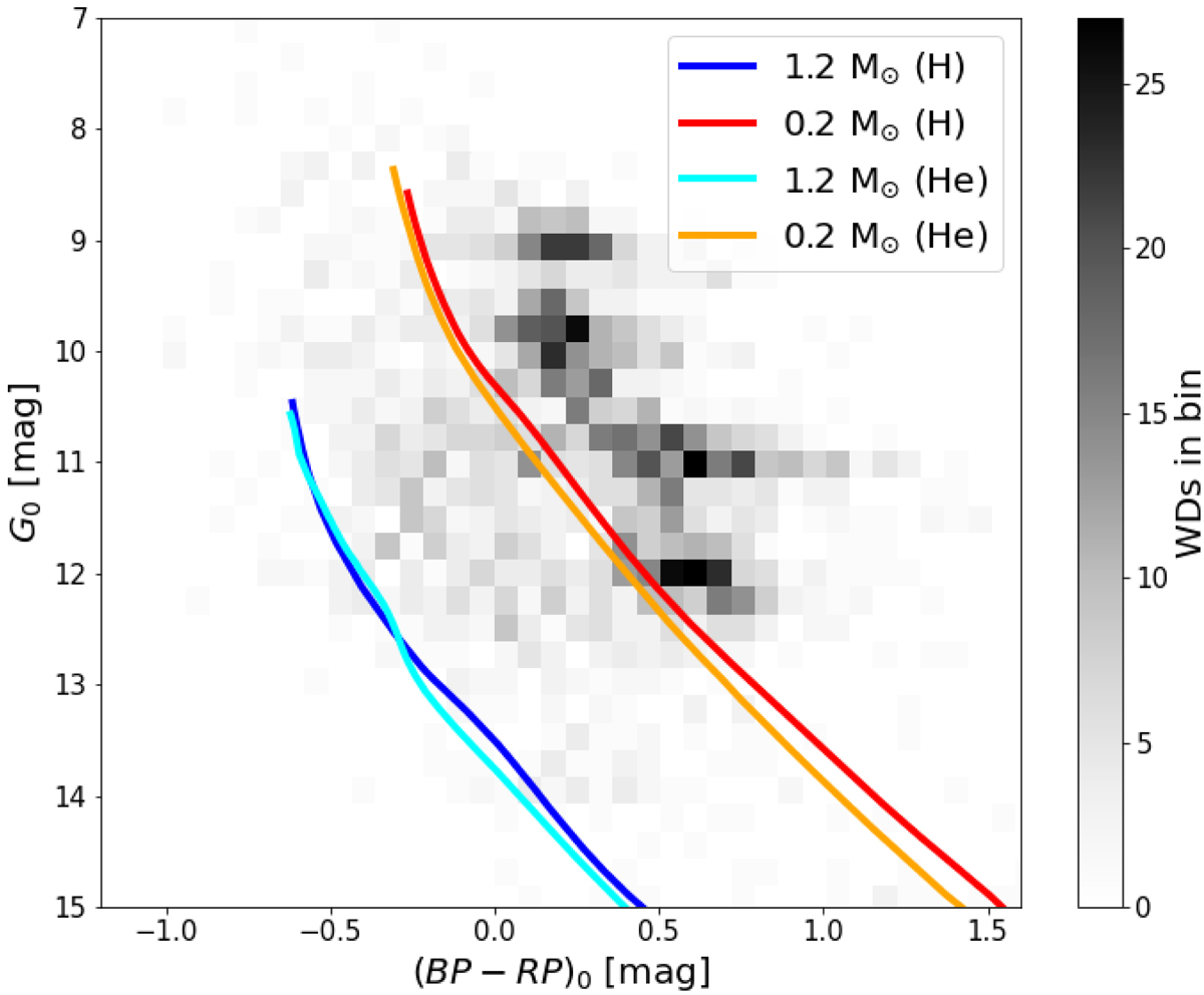
Fig. 4.

image

2D density WD histogram obtained from the initial WD sample in the absolute magnitude-color space. The absolute magnitudes and colors for each WD are calculated using the parameters of the cluster of which the WD is a member candidate. Overlaid are the Montreal WD cooling tracks for low-mass and high-mass WDs with H and He atmospheres.

Current usage metrics show cumulative count of Article Views (full-text article views including HTML views, PDF and ePub downloads, according to the available data) and Abstracts Views on Vision4Press platform.

Data correspond to usage on the plateform after 2015. The current usage metrics is available 48-96 hours after online publication and is updated daily on week days.

Initial download of the metrics may take a while.