Open Access

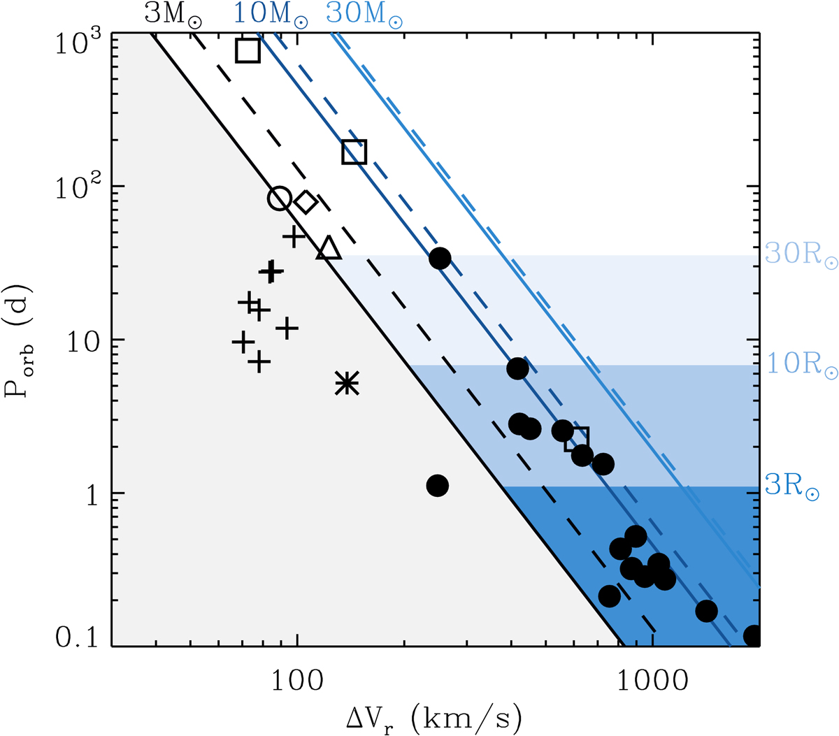
Fig. 3.

image

Black hole candidates with solar mass companions in the orbital period – radial velocity amplitude plane. Solid (dashed) lines show the lower limit on Porb that, according to Eq. (2), is sufficient to have a 3, 10, or 30 M BH in circular orbit with a 3 M stellar companion (1 M companion). Colored areas indicate where a 3, 10, or 30 R stellar companion would overfill its Roche lobe. Candidate BHs from radial velocity measurements: low-mass X-ray binaries (black dots); APOGEE candidate (open circle); LAMOST LB-1 candidate (open diamond); MUSE candidates in NGC 3201 (open squares); HR 6819 candidate (open triangle) and the latest LAMOST selection of giant stars having large ΔVr and optically invisible companions (crosses), including GS4 (star). More details are given in the text.

Current usage metrics show cumulative count of Article Views (full-text article views including HTML views, PDF and ePub downloads, according to the available data) and Abstracts Views on Vision4Press platform.

Data correspond to usage on the plateform after 2015. The current usage metrics is available 48-96 hours after online publication and is updated daily on week days.

Initial download of the metrics may take a while.