Free Access

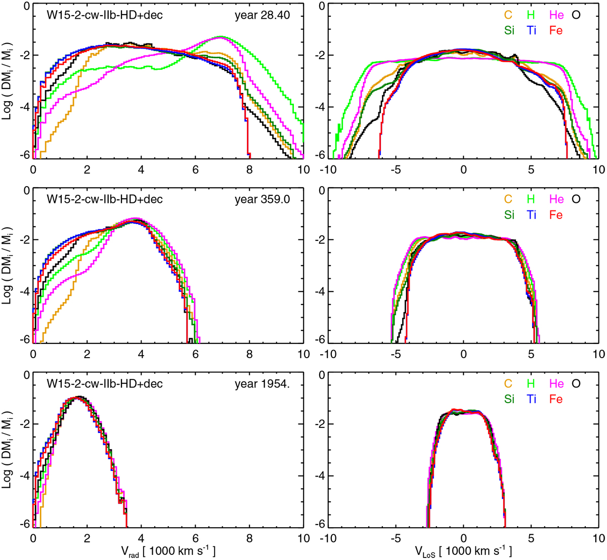
Fig. 6

image

Mass distributions of 1H, 4He, 12C, 16O, 28Si, 44Ti, and 56Fe versus radialvelocity, vrad (left panels), and velocity component along the LoS, vLoS (right panels) at the labeled times for model W15-2-cw-IIb-HD+dec. The upper panels correspond to the time when Fe and Ti start to interact with the reverse shock, the middle panels to the time corresponding to the age of Cas A, and the lower panels to t ≈ 2000 yr.

Current usage metrics show cumulative count of Article Views (full-text article views including HTML views, PDF and ePub downloads, according to the available data) and Abstracts Views on Vision4Press platform.

Data correspond to usage on the plateform after 2015. The current usage metrics is available 48-96 hours after online publication and is updated daily on week days.

Initial download of the metrics may take a while.