Open Access

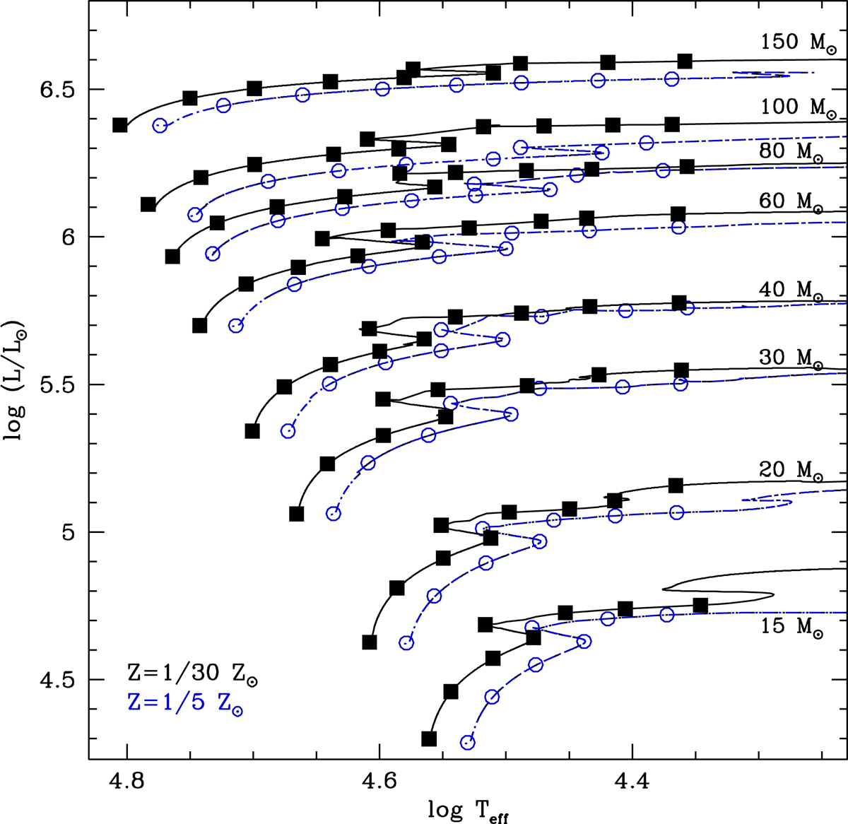
Fig. 1.

image

Hertzsprung-Russell diagram for the Z = 1/30 Z (black lines and filled squares) and SMC (dot-dashed blue lines and open circles) cases. Lines are the STAREVOL evolutionary tracks. Symbols are the points at which an atmosphere model and synthetic spectrum have been computed.

Current usage metrics show cumulative count of Article Views (full-text article views including HTML views, PDF and ePub downloads, according to the available data) and Abstracts Views on Vision4Press platform.

Data correspond to usage on the plateform after 2015. The current usage metrics is available 48-96 hours after online publication and is updated daily on week days.

Initial download of the metrics may take a while.